偶関数と奇関数 ~ 性質・公式・例 ~

定義と例
- 定義
- 基本的な例 (偶関数)
- 基本的な例 (奇関数)

性質
- 偶関数は $y$ 軸対称
- 奇関数は原点対称
- 偶関数の積分
- 奇関数の積分
- 偶/奇関数の積
- 偶/奇関数の和
- 任意の関数から生成
- 偶/奇関数の微分
- 偶/奇関数の合成関数
- 補足1
- 補足2
定義
  関数 $f(x)$ が
を満たすとき、$f(x)$ を偶関数 (even function) と呼ぶ。
  また関数 $g(x)$ が
を満たすとき、$g(x)$ を奇関数 (odd function) と呼ぶ。
基本的な例 (偶関数)
  次の関数
は、偶関数である。
証明
 
を満たすので偶関数である(下図)。

基本的な例 (奇関数)
  次の関数
は、奇関数である。
証明
 
を満たすので奇関数である(下図)。

偶関数は $y$ 軸対称
  偶関数は $y$ 軸対称の関数である。
証明
  関数 $f(x)$ 上の任意の一点 $(a, f(a))$ の $y$ 軸対称の点 $(-a, f(a))$ もまた $f(x)$ 上にあるとき、 関数 $f(x)$ が $y$ 軸対称であるという。
  $f(x)$ が 偶関数の場合、 $f(x)$ 上の任意の一点 $(a, f(a))$ の $y$ 軸対称の点 $(-a, f(a))$ は、
を満たすので、$f(x)$ 上にある。 ゆえに偶関数は $y$ 軸対称である。

奇関数は原点対称
  奇関数は原点対称な関数である。
証明
  関数 $g(x)$ 上の任意の一点 $(a, g(a))$ の原点対称の点 $(-a, -g(a))$ もまた $g(x)$ 上にあるとき、 関数 $g(x)$ が原点対称であるという。
  $g(x)$ が 奇関数の場合、 $g(x)$ 上の任意の一点 $(a, g(a))$ の原点対称の点 $(-a, -g(a))$ は、
を満たすので、$g(x)$ 上にある。 ゆえに奇関数は原点対称である。

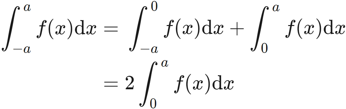
偶関数の積分
  偶関数 $f(x)$ の積分には、
が成り立つ。
  これより、
が成り立つ。
:
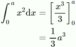
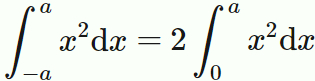
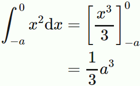
  $f(x) = x^2$ の場合
であり、 一方で、
であるので、
が成り立つ。これより
が成り立つ。
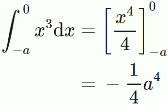
奇関数の積分
  奇関数 $g(x)$ の積分には、
が成り立つ。
  これより、
が成り立つ。
:
  $f(x) = x^3$ の場合
であり、 一方で、
であるので、
が成り立つ。これより
である。
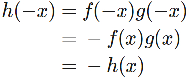
偶/奇関数の積
  偶関数 $f(x)$ と奇関数 $g(x)$ の積を $h(x) = f(x) g(x) $ と定義すると、
が成り立つ。 よって、偶関数と奇関数の積は奇関数になる。
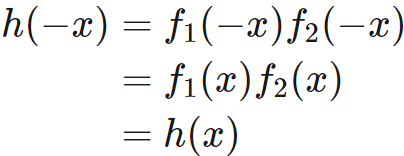
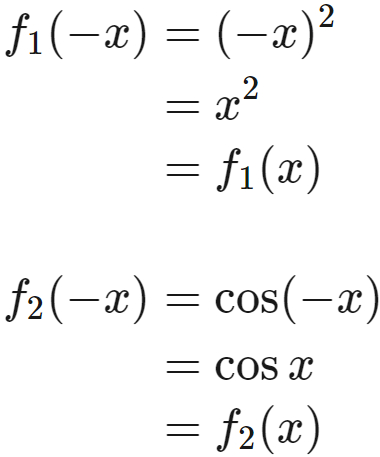
  偶関数 $f_{1}(x)$ と偶関数 $f_{2}(x)$ の積を $h(x) = f_{1}(x) f_{2}(x) $ と定義すると、
が成り立つ。 よって、偶関数と偶関数の積は偶関数になる。
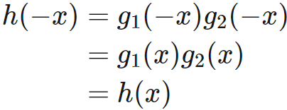
  奇関数 $g_{1}(x)$ と奇関数 $g_{2}(x)$ の積を $h(x) = g_{1}(x) g_{2}(x)$ と定義すると、
が成り立つ。 よって、奇関数と奇関数の積は偶関数になる。
  まとめると、
が成り立つ。
:
  $g(x) = x \sin x$ は、$x$ が奇関数であり、 $\sin x$ も奇関数であるので偶関数である。 実際、
が成り立つ。
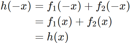
偶/奇関数の和
  偶関数 $f_{1}(x)$ と 偶関数 $f_{2}(x)$ の和を $h(x) = f_{1}(x) + f_{2}(x) $ と定義すると、
が成り立つ。 よって、偶関数と偶関数の和は偶関数になる。
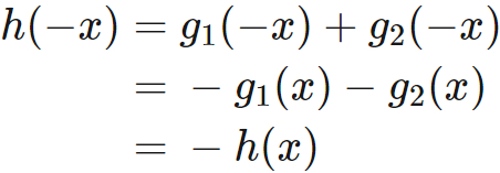
  奇関数 $g_{1}(x)$ と 奇関数 $g_{2}(x)$ の和を $h(x) = g_{1}(x) + g_{2}(x) $ と定義すると、
が成り立つ。 よって、奇関数と奇関数の和は奇関数になる。
  まとめると、
が成り立つ。
:
  $f(x) = x + \sin x$ は、 $x$ が奇関数であり、 $\sin x$ も奇関数であるので奇関数である。 実際、
が成り立つ。
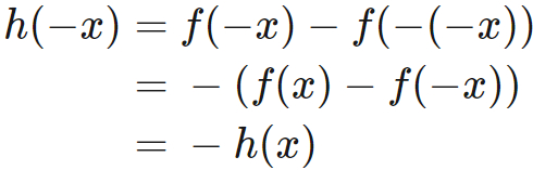
任意の関数から生成
  任意の関数の $f(x)$ に対して、
とすると、
が成り立つ。 よって、 $f(x)$ と $f(-x)$ の和は偶関数になる。
  任意の関数の $f(x)$ に対して、
とすると、
が成り立つ。よって、 $f(x)$ と $f(-x)$ の差は奇関数になる。
:
  双曲線関数 $ \cosh x = \frac{e^x + e^{-x}}{2}$ は、 $f(x) = \frac{e^{x}}{2}$ と置くと、$\cosh x = f(x) + f(-x)$ と表せるので、 偶関数である。 実際、
が成り立つ。
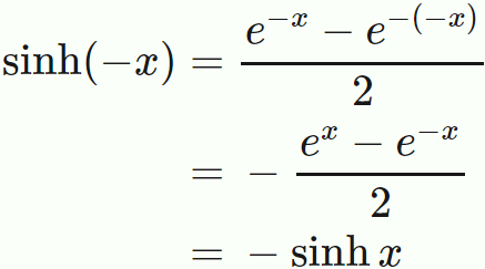
  一方で、 双曲線関数 $ \sinh x = \frac{e^x - e^{-x}}{2}$ は、 $f(x) = \frac{e^{x}}{2}$ と置くと、$\sinh x = f(x) - f(-x)$ と表せるので、 奇関数である。 実際、
が成り立つ。
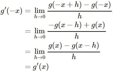
偶/奇関数の微分
  偶関数 $f(x)$ の微分
は、
を満たす (最後の等式は補足1を参考)。 よって、偶関数の微分は奇関数である。
  一方で、奇関数 $g(x)$ の微分
は、
を満たす。 よって、奇関数の微分は偶関数である。
  以上まとめると、
が成り立つ。
:
  奇関数
の微分
は偶関数である。
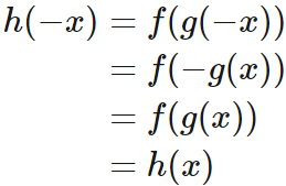
偶/奇関数の合成関数
  偶関数 $f(x)$ と奇関数 $g(x)$ の合成関数
は、
が成り立つので、偶関数である。
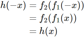
  奇関数 $g(x)$ と偶関数 $f(x)$ の合成関数
は、
が成り立つので、偶関数である。
  偶関数 $f_{1}(x)$ と偶関数 $f_{2}(x)$ の合成関数
は、
が成り立つので、偶関数である。
  奇関数 $g_{1}(x)$ と奇関数 $g_{2}(x)$ の合成関数
は、
が成り立つので、奇関数である。
  以上まとめると、
が成り立つ ( 補足2を参考 )。
:
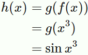
  奇関数 $f(x) = x^3$ と奇関数 $g(x) = \sin x$ の合成関数
は奇関数である。 実際、
が成り立つ。
補足1:
  ここでは微分の定義
から
が成り立つことを証明する。
  微分の定義は、 $\epsilon - \delta$ 論法によって次のように表される。 すなわち、 任意の $\epsilon > 0$ に対して、 ある $\delta > 0$ が存在し、
が成り立つ。
  この定義を $k=-h$ として表すと次のようになる。 すなわち、 任意の $\epsilon > 0$ に対して、 ある $\delta > 0$ が存在し、
が成り立つ。 これを極限の記号を用いて表すと、
である。
補足2:
  偶/奇関数の満たす合成関数の性質
は、 整数の積に対する偶奇性
と類似した性質である。