二項分布とは

二項分布の確率分布
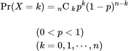
二項分布の定義
  確率変数 $X$ の確率分布が
二項分布の確率分布
であるとき 、 $X$ が二項分布に従うといい、 \begin{eqnarray} X \sim B(n,k) \end{eqnarray} と表す。
  下図は $n=10, p=0.3$ の場合の二項分布を表している。
二項分布の図
と表される。
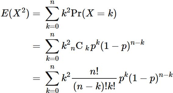
二項分布の期待値
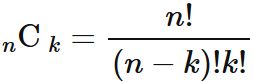
  二項分布 $B(n,k)$ に従う確率変数 $X$ の期待値 $E(X)$ は、
二項分布の期待値
である。
証明
  期待値の定義と二項分布の定義より、
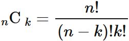
である。ここで 組み合わせ ${}_n \mathrm{C}_{\hspace{1mm}k}$ が
であることを用いた。
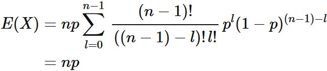
  総和の中の $k=0$ の項が $0$ であることから、この項を取り除き、整理すると、
と表せる。
  ここで、$l=k-1$ とすると、
と表せるが、 上の式の右辺の総和の部分は、二項定理により $ 1 $ に等しい。 すなわち、
であるので、
を得る。

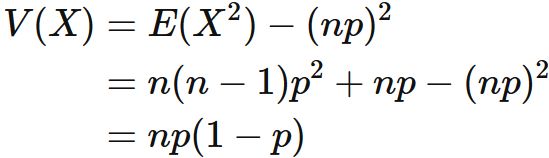
二項分布の分散
  二項分布 $B(n,k)$ に従う確率変数 $X$ の分散 $V(X)$ は、
である。
証明
  一般に分散は二乗期待値と期待値の二乗の差である。 すなわち、
が成り立つ。 二項分布 $B(n,k)$ に従う確率変数 $X$ の期待値
であるので、
$$ \tag{1} $$ と表せる。 したがって、 二乗期待値 $E(X^2)$ を求めれば、分散 $V(X)$ が求まる。
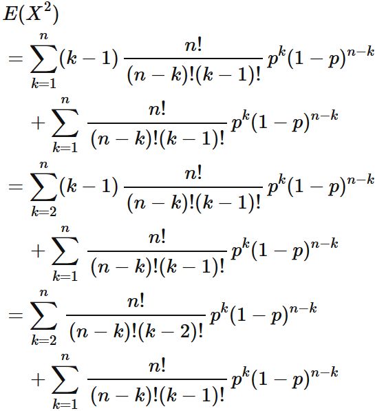
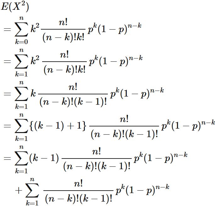
  二乗期待値は、二項分布の場合
である。ここで組み合わせの定義
を用いた。
  右辺の総和の $k=0$ の項が $0$ であることから、この項を取り除き、整理すると、
と表せる。4 つめの等号では、 右辺を $k=(k-1)+1$ の関係を利用した。
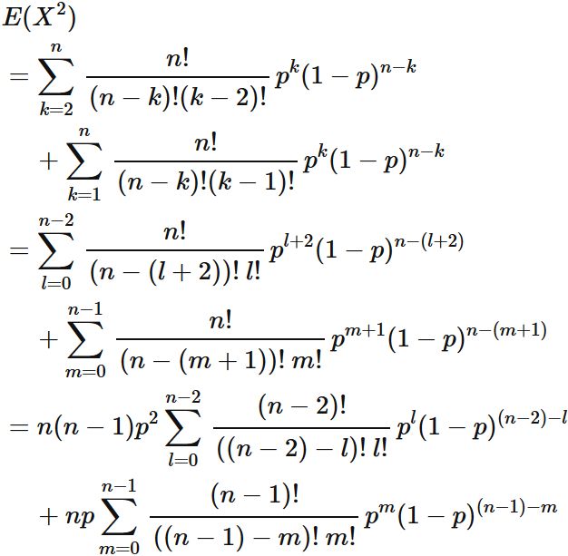
  右辺の一つめの総和の $k=1$ の項が $0$ であることから、 この項を取り除き、整理すると、
と表せる。
  ここで一つめの総和に対して $l=k-2$ と置き、 二つめの総和に対して $m=k-1$ と置くと、
と表せる。 ここで二項定理から、
が成り立つので、
である。
  これを $(1)$ に代入すると
を得る。

二項分布の標準偏差
  二項分布 $B(n,k)$ に従う確率変数 $X$ の分散 $\sigma(X)$ は、 \begin{eqnarray} \sigma(X) &=& \sqrt{V(X)} \\ &=& \sqrt{np(1-p)} \end{eqnarray} である。
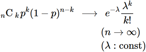
ポアソン分布との関係 (小数の法則)
  二項分布
に対して $np = \lambda$ と置き、 $\lambda$ を一定にする条件の下で $n$ を大きくしてゆくと、 ポアソン分布に収束する。 すなわち、
が成り立つ。 これをポアソンの小数の法則と呼ぶ。