ポアソン分布とは?   ~期待値・分散・性質~

ポアソン分布
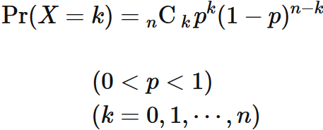
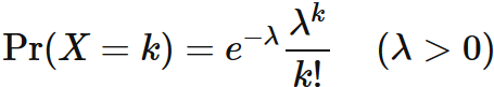
  $X$ が $0, 1,2 , \cdots,$ の値をとり、確率関数 $\mathrm{Pr}(X=k)$ が
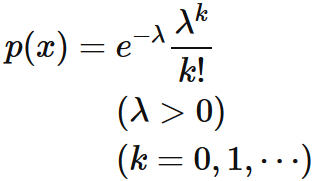
ポアソン分布
であるとき、$X$ の分布がポアソン分布であるという。
ポアソン分布
上のグラフは、$\lambda=0.25$ (赤線)、 $\lambda=0.5$ (橙線)、 $\lambda=1$ (緑線)、 $\lambda=2$ (青線)、 をポアソン分布である。
期待値
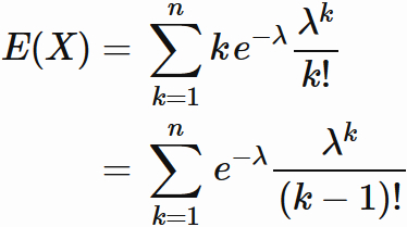
  確率変数 $X$ がポアソン分布に従うとき、 $X$ の期待値 $E(X)$ は、
ポアソン分布の期待値
である。
証明
  期待値の定義とポアソン分布の定義より、
である。 右辺の総和のうち、$k=0$ の項が $0$ であることから、総和の中からこの項を取り除き、整理すると、
と表せる。 ここで、$l=k-1$ とすると、
と表せる。右辺の総和は、$e^{\lambda}$ の $x=0$ におけるテーラー展開であるので、すなわち、
であるので、期待値は、
である。
例:
  下のグラフは、$\lambda=0.5$ (青線)、 $\lambda=1$ (橙線)、 $\lambda=2$ (緑線)のポアソン分布である。
ポアソン分布の期待値の図
パラメータ $\lambda$ が大きいほど、山の頂点が右側に行く(期待値が大きくなる) ことが見て取れる。 実際、それぞれの期待値は、
ポアソン分布の期待値の図
である。

分散
  確率変数 $X$ がポアソン分布に従うとき、 $X$ の分散 $V(X)$ は、
ポアソン分布の分散
である。

証明
  一般に分散は二乗期待値と期待値の二乗の差に等しい。 すなわち、
が成り立つ。 ポアソン分布の期待値が、
であるので、
$$ \tag{1} $$ と表せる。 よって、 二乗期待値 $E(X^2)$ を求めれば、 分散 $V(X)$ が求まる。
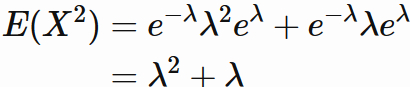
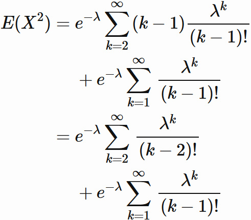
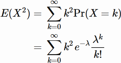
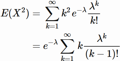
  二乗期待値 $E(X^2)$は、 ポアソン分布の定義により、
である。 ここで $k=0$ の項が $0$ であることから、 総和の中からこの項を取り除いて整理すると、
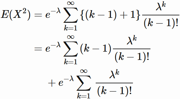
である。 ここで $k=(k-1)+1$ の関係を使って、 右辺の総和を分けると、
と表せるが、 右辺の一つ目の総和の $k=1$ の項は $0$ であるので、この部分を取り除いて整理すると、
と表せる。 右辺の一つ目の総和に対して $l=k-2$ とし、 二つ目の総和に対して $m=k-1$ とすると、
と表せるが、 第一項と第二項に現れた総和の部分は、 $e^{\lambda}$ の テーラー展開 に等しい、 すなわち、
であるので、 二乗期待値は、
である。
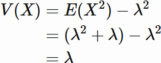
  したがって、 $(1)$ からポアソン分布の分散は、
である。このように、 ポアソン分布の分散は期待値に等しい。
例:
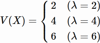
  下のグラフは、$\lambda=2$ (青線)、 $\lambda=4$ (橙線)、 $\lambda=6$ (緑線)のポアソン分布である。
ポアソン分布の分散の図
パラメータ $\lambda$ が大きいほど山の幅 (分散) が広がってゆくことが分かる。 実際、それぞれの分散は、
である。

二項分布との関係 (小数の法則)
  二項分布
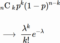
に対して $np = \lambda$ と置き、 $\lambda$ を一定にする条件の下で $n$ を大きくしてゆくと、 ポアソン分布に収束する。 すなわち、
が成り立つ。 これをポアソンの小数の法則と呼ぶ。
証明
  $ np = \lambda $ とすると、
$$ \tag{1} $$ と表せる。 ここで $\lambda$ を一定に保ちながら、 $ n $ を大きくする極限をとると、
$$ \tag{2} $$ である。また、 $\frac{n}{\lambda} = m$ と置くと、 $ n $ を大きくすると、 $ m $ も 大きくなるので、
$$ \tag{3} $$ となる (ネピアの定数を参考)。
  以上の $(1) (2) (3)$ より、
これは二項分布が $\lambda = np$ を一定に保ちながら $n$ を大きくする極限において、 ポアソン分布に収束することを表している。

最尤法
  ポアソン分布
を定義するパラメータ $\lambda$ の最尤推定量は、 観測値 $\{k_{1}^{M}, k_{2}^{M}, \cdots, k_{n}^{M} \}$ の平均値である。 すなわち、
である。