正規分布の期待値と分散

目次
- 期待値
- 分散
正規分布の期待値
  確率変数 $X$ がパラメータが $\mu$ と $\sigma$ の正規分布に従うとき、 すなわち、
であるとき、 $X$ の期待値 $E(X)$ は、
正規分布の期待値
である。
証明
  正規分布 $N(\mu, \sigma)$ に従う確率変数 $X$ の確率密度関数 $p(x)$ は、
正規分布の期待値
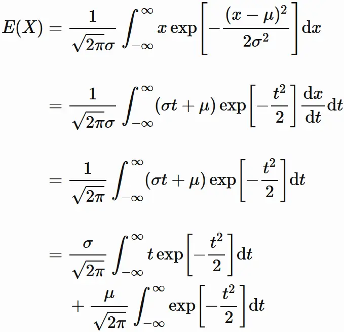
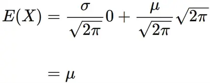
である。  よって、 期待値は、
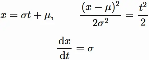
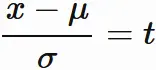
である。  ここで、右辺の積分変数を
と置くと、
であるので、 置換積分によって
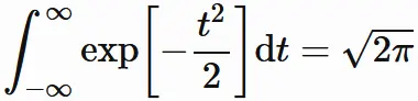
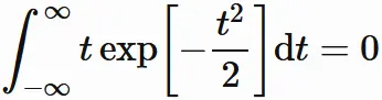
と表される。 ここで、右辺の第一項の積分は、 積分範囲が $-\infty$ から $+\infty$ までの 1 次のガウス積分であるので、 値は 0 である。すなわち、
1 次のガウス積分
である。 また、 第二項の積分は、 積分範囲が $-\infty$ から $+\infty$ までの 0 次のガウス積分であるので、
0 次のガウス積分
である。 これらより、
を得る。
具体例
例 1:
  下の図は、$\mu=5$, $\sigma=2$ の場合の正規分布である。
正規分布の図 \sigma=2
この場合の期待値は
である。


例 2:
  下の図は、$\mu=10$, $\sigma=2$ の場合の正規分布である。
この場合の期待値は
である。


例 3:
  下の図は、$\mu=5$, $\sigma=4$ の場合の正規分布である。
この場合の期待値は
である。
  以上の例から分かるように、 同一の $\mu$ を持つ正規分布は同じ期待値を持ち、 同じ位置にピークを持つ。 一方、$\sigma$ のみが異なる正規分布は、 分布の幅が異なる一方で、同一の期待値を持ち同一の位置にピークを持つ。

正規分布の分散
    正規分布 $ N(\mu, \sigma^2) $ に従う確率変数 $X$ の分散 $V(X)$ は
正規分布の分散
である。
証明
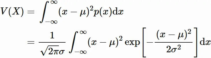
    正規分布 $N(\mu, \sigma^{2})$ に従う確率変数 $X$ の確率分布(確率密度関数) $p(x)$ は、
である。 分散の定義は、
であるが、 正規分布の期待値は、
であるので、
と表される。 右辺の積分変数を
と置換すると、 $x - \mu= \sigma t $ であるので、
と表せる。 右辺に現れた積分は、 積分範囲が $-\infty$ から $+\infty$ までの 2 次のガウス積分の公式によって、
という値を持つ。 ゆえに
である。
  また、 標準偏差は、
正規分布の標準偏差
である。
具体例
  $\mu=5$, $\sigma=2$ の場合、
である。 $\mu=5$, $\sigma=4$ の場合、
である。 下の図は正規分布 ($\mu = 5, \sigma=2$: )と 正規分布($\mu = 5, \sigma=4$: オレンジ) を一つの図に表したものである。
正規分布の分散の図

分散の大きな正規分布(オレンジ)の方が、 分散の小さい正規分布()よりもが分布が幅広い。
  このように分散は、 正規分布の場合には $\sigma$ が大きいほど、 幅が広くなる。