指数分布

指数分布
  確率密度関数 $p(x)$ が
指数分布の定義
である確率分布を指数分布という。 ここで、$\lambda > 0$ である。
  下図は $\lambda=0.5$ (青線) と $\lambda=1$ (赤線) の場合の確率密度関数。
指数分布の確率密度関数
具体例: バッテリーの充電速度
  ある時刻 $t$ における バッテリーの充電速度を $v$ とする。 このバッテリーは 充電速度が速いときほど、 充電速度が減速してしまうと仮定する。 すなわち、
指数分布の微分方程式
が成り立つと仮定する (実際はこんな単純なシステムではない)。 速度の変化率(左辺)であり、速度が大きいほどマイナスになる(右辺)ことを表した式であり、 $\lambda$ はマイナスの程度を表す正の定数である。
指数分布の期待値の図
これを解くと、
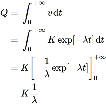
である。$K$ は定数である。 バッテリーを時刻無限大まで充電すると、 充電量が総充電量(総電荷量) $Q$ に到達する。 このことから、
が成り立つので、 $ K = \lambda Q $ である。 これより、
であるが、総充電量で割ることにより、
$$ \tag{1} $$ を得る。 このように 充電速度を総電荷量で割ったものは、 指数分布の確率密度関数に従って時間変化する。
  $(1)$ の左辺の意味が分かりずらいが、 時刻 $t_{1}$ から $t_{2}$ までの積分
$$ \tag{2} $$ が、$t_{1}$ から $t_{2}$ までの充電量と 総充電容量との比 (充電率) を表していることから分かるように、 $(1)$ の左辺は、 時刻 $t$ における充電率の変化速度と解釈できる。
  また、大雑把な考察ではあるが、 物理的には バッテリーの充電量がバッテリー内部の電気の担い手 (イオン) の正負極間における総移動量を表していることから、 $(2)$ は 移動可能な全イオン数と時刻 $t_{1}$ から $t_{2}$ までの間に移動したイオンの総数との比を表していると見なされうる。 これは、 その時間内での一つのイオンの移動確率とも解釈できる。 このことから、 $(1)$ の左辺は、一つのイオンの移動確率を与える確率密度関数であると見なされる。
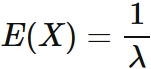
期待値
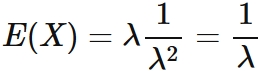
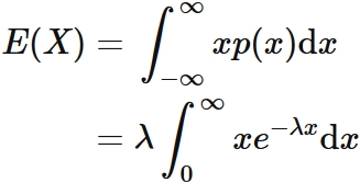
  指数分布に従う確率変数 $X$ の期待値 $E(X)$ は、
である。
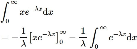
証明
  指数分布の確率密度関数 $p(x)$ が
であることから、 期待値 $E(X)$ は、
$$ \tag{1} $$ である。 右辺の積分は、 部分積分によって、
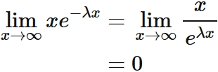
$$ \tag{2} $$ と表せるが、指数関数とべき関数の比の極限の性質により、
であるので、 $(2)$ の第一項は $0$ になる。
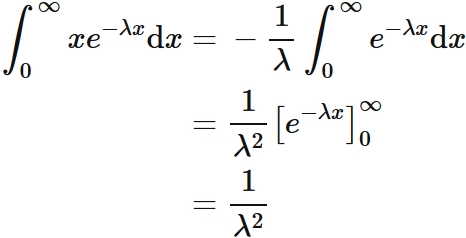
  従って、 $(2)$ の積分は、
である。 これを $(1)$ に代入すると、
を得る。
  具体例
  下の図は、$\lambda=0.5$ (青色), $\lambda=1.0$ (赤色), $\lambda=2.0$ (緑色) の場合の指数分布である。
指数分布の期待値の図
$\lambda$ が大きくなるほど、 $0$ に近い方の分布値が大きくなるので、 期待値は小さくなると予想できる。
  実際、それぞれの $\lambda$ に対する期待値は
であり、 $\lambda$ が大きくなるほど、 小さい値になる。

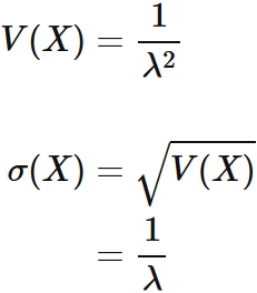
分散と標準偏差
  指数分布に従う確率変数 $X$ の分散 $V(X)$ と標準偏差 $\sigma(X)$ は、
である。
証明
  一般に分散は二乗期待値と期待値の二乗の差である。 すなわち、
であり、 指数分布の期待値は $ E(X) = \frac{1}{\lambda} $ であるので、
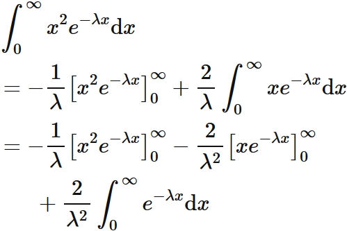
$$ \tag{1} $$ である。 よって、二乗期待値 $E(X^2)$ を求めれば、分散 $V(X)$ が求まる。
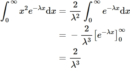
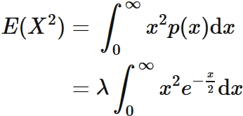
  二乗期待値 $E(X^2)$は、指数分布の定義により、
$$ \tag{2} $$ である。 右辺の積分は部分積分によって、
$$ \tag{3} $$ と表せるが、極限におけるべき関数と指数関数の振る舞いにより、
であるので、 $(3)$ の第一項と第二項は $0$ である。 したがって、
である。
  これと $(2)$ から、二乗期待値は、
である。
  これと $(1)$ から分散は、
である。また、標準偏差 $\sigma(X)$ は
である。
 例
  下の図は、$\lambda=0.5$ (青色), $\lambda=1.0$ (赤色), $\lambda=2.0$ (緑色) の場合の指数分布である。
指数分布の分散の図
$\lambda$ が小さくなるほど、分布が広がる様子が見て取れる。
  実際、それぞれの $\lambda$ に対する分散は
となり、$\lambda$ が大きくなるほど、小さい値になる。