ラプラス分布の期待値と分散の求め方

ラプラス分布とは、
  確率密度関数 $p(x)$ が
ラプラス分布
である確率分布を ラプラス分布 という。 確率変数 $X$ がラプラス分布に従うことを
と表すことがある。
  下の図は $\mu=3, \beta=1$ (青色) と $\mu=3, \beta=0.5$ (赤色) のラプラス分布。
ラプラス分布の図
ラプラス分布の期待値
  確率変数 $X$ がラプラス分布に従うとき、 期待値 $E(X)$ は、
ラプラス分布の期待値
である。

証明
  ラプラス分布の確率密度関数を絶対値を使わずに表すと、
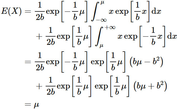
であるので、 期待値は、
と表される。
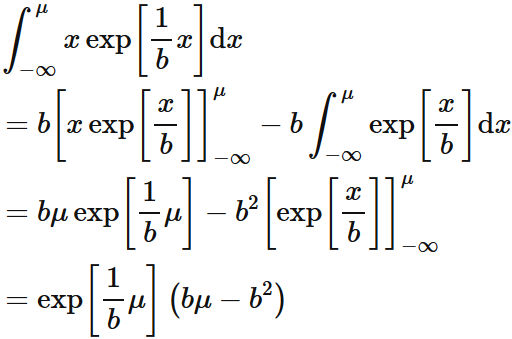
  右辺の第一項で現れた積分は部分積分によって、
である。 また、第二項で現れた積分もまた部分積分によって、
である。 したがって、
である。

ラプラス分布の分散
  確率変数 $X$ がラプラス分布に従うとき、 分散 $V(X)$ は、
である。

証明
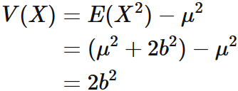
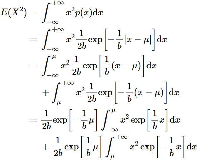
  一般に分散 $V(X)$ は、 二乗期待値と期待値の二乗の差に等しいので、
である ( ここで期待値が $E(X)=\mu$ であることを用いた )。 したがって、二乗期待値 $E(X^2)$ が求まれば分散が得られる。
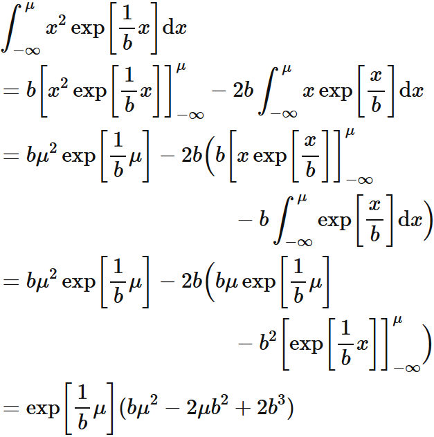
  ラプラス分布の確率密度関数を絶対値を使わずに表すと、
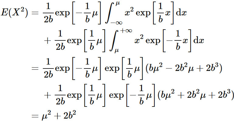
であるので、 二乗期待値は、
と表される。
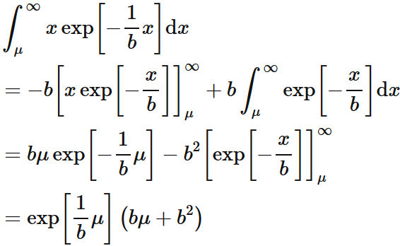
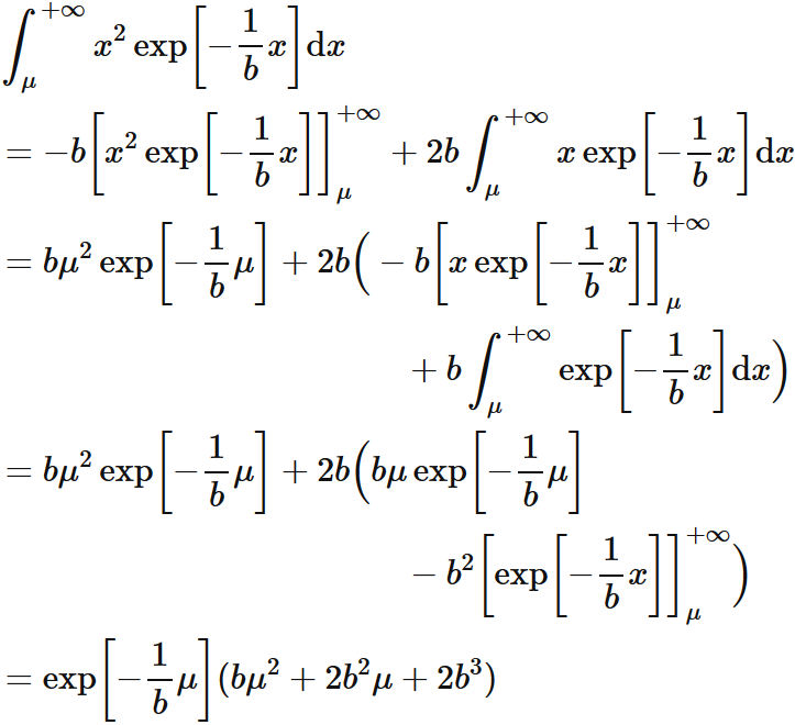
  右辺の第一項で現れた積分は部分積分によって、
である。 また、第二項で現れた積分もまた部分積分によって、
である。 したがって、
である。 ゆえに分散は、
である。

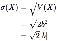
ラプラス分布の標準偏差
  確率変数 $X$ がラプラス分布に従うとき、 標準偏差 $\sigma(X)$ は、
である。