幾何分布

幾何分布
  確率変数 $X$ が $X=k$ と観測される確率 $\mathrm{Pr}(X=k)$ が
幾何分布
であるとき、 $X$ が幾何分布に従うという。
具体例: サイコロの出目
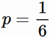
  サイコロを何度も振り、$1$ の目が出るまでの回数を $X$ とする。 このとき、$X=k$ となる確率 $\mathrm{Pr}(X=k)$ は $p=\frac{1}{6}$ の幾何分布に従う。 すなわち、
幾何分布の例題
である。
解説
  サイコロの各目が出る確率を $\frac{1}{6}$ とする。 $1$ の目が出る確率 $p$ は
である。一方、$1$ でない目 $(2,3,4,5,6)$ が出る確率は
である。 である。
  $1$ の目が出るまでサイコロを何度も振り続けるとし、 最初の $k-1$ 回 は $1$ でない目 $(2,3,4,5,6)$ が出てしまい、 $k$ 回目でようやく $1$ の目が出たとする。
幾何分布の例の図
このとき、(各試行が独立であるとすると) $k$ 回目で $1$ の目が出る確率は、
である。 これは $p=\frac{1}{6}$ の場合の幾何分布に等しい。

期待値
  幾何分布に従う確率変数 $X$ の期待値 $E(X)$ は、
幾何分布の期待値
である。
証明
  確率分布が幾何分布に従うので、 $X$ の期待値は、
幾何分布の例題
$$ \tag{1} $$ である。
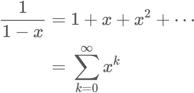
  右辺の総和を求めるために、関数 $1/(1-x)$ のテーラー展開
幾何分布の例題
に着目すると、 左辺の微分は、
であり、 右辺の微分は、
であるので、
が成り立つことが分かる。 この等式を $x= 1-p$ と変数変換して表すと、
となる。 これを$(1)$ に代入すると、
を得る。

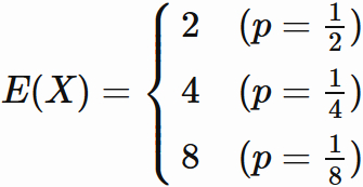
具体例
  下のグラフは、$p=\frac{1}{2}$ (緑色)、 $p=\frac{1}{4}$ (青色)、 $p=\frac{1}{8}$ (ピンク色)の場合の幾何分布である。
幾何分布の期待値の図
期待値は、
aaa
である。 $p$ が小さいほど、グラフが平坦になり、期待値が増加する。

分散と標準偏差
  幾何分布に従う確率変数 $X$ の分散 $V(X)$ と標準偏差 $\sigma(X)$ は、
幾何分布の分散と標準偏差
である。
証明
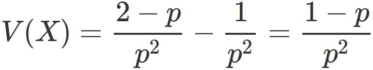
  一般に分散は二乗期待値と期待値の二乗の差に等しい。 すなわち、
が成り立つ。 幾何分布の期待値は、 $ E(X) = \frac{1}{p} $ であるので、 \begin{eqnarray} V(X) &=& E(X^2) - \frac{1}{p^2} \end{eqnarray} $$ \tag{1} $$ である。 よって、 二乗期待値 $E(X^2)$ を求めれば、 分散 $V(X)$ が求まる。
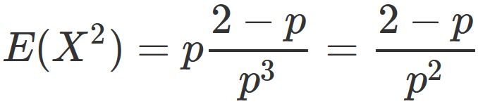
  確率変数 $X$ が幾何分布に従うので、 二乗期待値 $E(X^2)$ は、 \begin{eqnarray} E(X^2) &=& \sum_{k=1}^{\infty} k^2 \hspace{0.5mm} \mathrm{Pr}(X=k) \\ &=& \sum_{k=1}^{\infty} k^2 \hspace{0.5mm} p(1-p)^{k-1} \\ &=& p \sum_{k=1}^{\infty} k^2 \hspace{0.5mm} (1-p)^{k-1} \end{eqnarray} $$ \tag{2} $$ である。
  右辺の総和を求めるために、関数 $1/(1-x)$ のテーラー展開
に着目し、両辺を微分すると、
であり、 両辺に $x$ を掛けて、
とし、 再び両辺を微分すると、
である。 ここで $x=1-p$ とすると、
であるので、 $(2)$ に代入すると、
である。 従って、 $(1)$ から
を得る。 これより、標準偏差 $\sigma(X)$ は \begin{eqnarray} \sigma(X) &=& \sqrt{V(X)} \\ &=& \sqrt{\frac{1-p}{p^2} } \end{eqnarray}
具体例 :
  下のグラフは、$p=\frac{1}{2}$ (緑色)、 $p=\frac{1}{4}$ (青色)、 $p=\frac{1}{8}$ (ピンク色)の場合の幾何分布である。
幾何分布の期待値の図
分散は、 \begin{eqnarray} V(X) = \left\{ \begin{array}{cc} 2 & (p=\frac{1}{2}) \\ 12 & (p=\frac{1}{4}) \\ 56 & (p=\frac{1}{8}) \end{array} \right. \end{eqnarray} である。 $p$ が小さいほど、グラフが平坦になり、分散が増加する。

負の二項分布との関係
  幾何分布負の二項分布の特別な場合である。 言い換えると、 負の二項分布は幾何分布を一般化した分布である。
解説
  負の二項分布 \begin{eqnarray} \mathrm{Pr}(X=k) &=& \left( \begin{array}{c} k+r-1 \\ k \end{array} \right) p^{r} (1-p)^{k} \\ \\ && (k=0,1,2,\cdots) \end{eqnarray} と幾何分布 \begin{eqnarray} \mathrm{Pr}(X=k) &=& p(1-p)^{k} \\ \\ && (k=0,1,2,\cdots) \end{eqnarray} を比較すると明らかなように、 負の二項分布の $r=1$ の場合が幾何分布である。
  負の二項分布は、成功と失敗のあるテストを行って、 そのテストが「$r$ 回成功するまでに $k$ 回失敗する確率」を表している (具体例を参考)。 したがって、 幾何分布は、 成功と失敗のあるテストを行って、 そのテストが「$1$ 回成功するまでに $k$ 回失敗する確率」を表している。 言い換えると、 「成功するまでに何回失敗するのか」を表すと解釈できる。