負の二項分布とは?   ~期待値・分散・性質~

負の二項分布
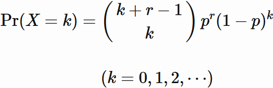
  $X=k$ $(k=0,1,2,\cdots)$ と観測される確率 $\mathrm{Pr}(X=k)$ が
負の二項分布
であるとき、$X$ が負の二項分布に従うという。
具体例
  負の二項分布とは、 成功と失敗のあるテストを行って、 そのテストが「$r$ 回成功するまでに $k$ 回失敗する確率」を表している。 次の具体例を見てみよう。
負の二項分布の具体例

  テストの成功確率を $p$ とし、 そのテストが3回成功するまでに2回失敗する確率を考える。 この問題には以下の特徴がある。

  • テストの回数は合計で5回
  • 最後の1回は成功してテストが終わる (5回目は全て成功)

したがって、 5回目を除く残りの4回のうち2回失敗する全てのケースを書き出すと、上の図が得られる。
  4回のテストのうち2回失敗する組み合わせは、
負の二項分布
通りである。 成功確率が $p$ であり、失敗確率が $1-p$ であるから、 それぞれのケースが起こる確率は、
負の二項分布
である。したがって、 成功確率が $p$ のテストが3回成功するまでに2回失敗する確率は、
負の二項分布
である。 これは $r=3,$ $k=2$ の場合の負の二項分布である。
  このように、 負の二項分布は、成功と失敗のあるテストを行って、 そのテストが「$r$ 回成功するまでに $k$ 回失敗する確率」と解釈される。 成功と失敗を入れ替えて、 「$r$ 回失敗するまでに $k$ 回成功する確率」と解釈してもよい。

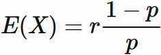
期待値
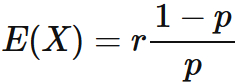
  確率変数 $X$ が負の二項分布に従うとき、 $X$ の期待値 $E(X)$ は、
負の二項分布の期待値
である。
証明
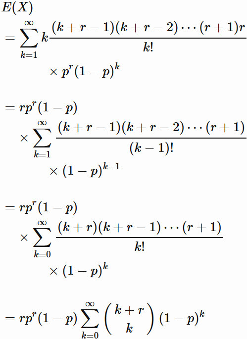
  確率変数 $X$ が負の二項分布に従うとき、 期待値 $E(X)$ は、
最後の式の $k=0$ の項は $0$ であるので、 その項を省いて表すと、
である。三つ目の等号では総和が $0$ から始まるように書き換えた。
  ここで一般に $-1 \lt x \lt 1$ において
が成り立つこと (証明は「補足:   級数について」を参考) を用いると、
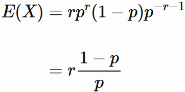
であることが分かる。 これより、
をうる。
例と解釈:
  $r=3$ の場合のグラフを記す。 $p=0.5$ (青線) の場合と $p=0.25$ (赤線) の場合がプロットされている。
負の二項分布の期待値の図
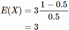
$ p=0.5 $ の場合、 期待値は、
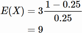
である。 一方、 $ p=0.25 $ の場合、 期待値は
である。
  この結果は次のように解釈できる。 負の二項分布とは、 成功と失敗のあるテストを行って、 そのテストが「$r$ 回成功するまでに $k$ 回失敗する確率」を表している。 従って、 $p=0.5$ の場合には、 $E(X)=3$ であるので、 このテストは $3$ 回成功するまでに $3$ 回失敗することが期待される。 例えば、 歪みのないコインを投げて、 $3$ 回表を出すためには、 $3$ 回裏を出すことが期待される。 一方で $p=0.25$ の場合には、 $E(X)=9$ であるので、 このテストは $3$ 回成功するまでに $9$ 回失敗することが期待される。 例えば、 $0.25$ の確率でしか表が出ない歪んだコインを投げて、 $3$ 回表を出すためには、 $9$ 回裏を出すことが期待される。

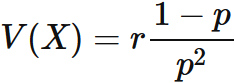
分散
  確率変数 $X$ が負の二項分布に従うとき、 $X$ の分散 $V(X)$ は、
負の二項分布の分散
である。

証明
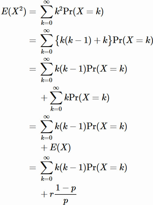
  一般に分散 $V(X)$ は二乗期待値 $E(X^{2})$ と期待値 $E(X)$ の二乗に等しい。 すなわち、
が成り立つ。 負の二項分布の期待値 $E(X)$ は、
であるので、
である。 二乗期待値は、
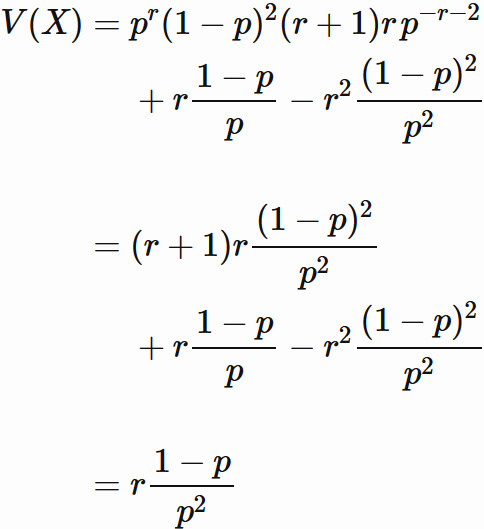
と表せる。 これらから、分散は
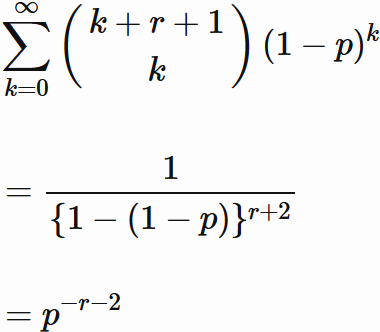
となる。 ここで総和の部分は、 $k=0$ の項と $k=1$ の項が $0$ になるので、 $k=2$ から始まる総和で表してもよい、 すなわち、
と表してもよい。 また、 $X$ が負の二項分布に従うことから、
と表せる。 $2$ から始まる総和の部分を $0$ から始まるように書き直せば、
である。 ここで一般に $-1 \lt x \lt 1$ において
が成り立つこと (証明は「補足:   級数について」を参考) を用いると、
であることが分かる。 これより、
を得る。
例と解釈:
$k=3$ の場合のグラフを記す。 $p=0.5$ (青線) の場合と $p=0.25$ (赤線) の場合がプロットされている。
負の二項分布の図
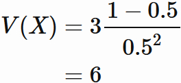
$ p=0.5 $ の場合、 分散は、
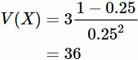
である。 一方、 $ p=0.25 $ の場合、 分散は、
である。
  この結果は次のように解釈できる。 負の二項分布とは、 成功と失敗のあるテストを行って、 そのテストが 「$r$ 回成功するまでに $k$ 回失敗する確率」を表している。 従って、 負の二項分布の分散とは、 決められた回数だけ成功するまでに起こる失敗回数のバラつき(広がり)を表している。
  ゆえに、 $p=0.5$ のとき $V(X)=6$、 $p=0.25$ のとき $V(X)=36$ であるということは、 成功確率の低いのテストの方が、 失敗回数のバラつきが大きくなることを表している。 例えば、 コイン投げにおいて表が出たことを成功とする場合、 成功確率が $0.5$ である歪みのないコインを投げる場合よりも、 成功確率が $0,25$ である歪みのあるコインを投げる方が、 それまでに起こる失敗回数に大きなバラつきが現れることを表している。

幾何分布との関係
  幾何分布は負の二項分布の特別な場合である。 言い換えると、 負の二項分布は幾何分布を一般化した分布である。
解説
  負の二項分布
幾何分布
を比較すると明らかなように、 負の二項分布の $r=1$ の場合が幾何分布である。
  負の二項分布は、成功と失敗のあるテストを行って、 そのテストが「$r$ 回成功するまでに $k$ 回失敗する確率」を表している (具体例を参考)。 したがって、 幾何分布は、 成功と失敗のあるテストを行って、 そのテストが「$1$ 回成功するまでに $k$ 回失敗する確率」を表している。 言い換えると、 「成功するまでに何回失敗するのか」を表すと解釈できる。

補足   (級数について)
  次の式
が成り立つことを証明する。
  右辺の級数は、 超幾何級数の一種であり、 負の二項分布の期待値や分散を計算するときに使われる。
証明
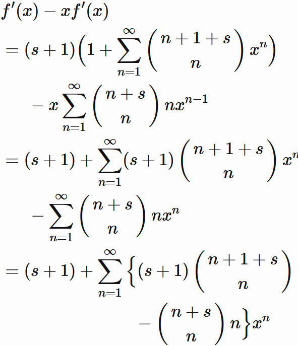
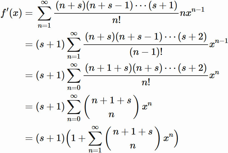
  はじめに
と置く。 $n=0$ の項を分けて表すと、
となる。 ここで、組み合わせ記号が
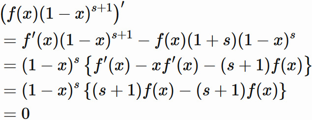
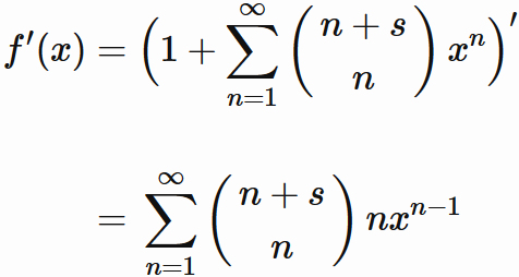
と定義されていることを用いた。 これより、 $f(x)$ の微分は、
$$ \tag{1} $$ である (補足を参考) 。 組み合わせ記号の定義により、 この式を
$$ \tag{2} $$ と表すこともできる。 $(1)$ と $(2)$ から
が成り立つ。 ここで括弧内の部分が
と書けることを用いると、
が成り立つことが分かる。 この結果を用いると、
を得る。 これより、
であるが、 $ f(0) = 1 $ であるので、 $ C=1 $ である。 ゆえに、
である。 最後に $f(x)$ の定義から
を得る。
補足
  $(1)$ を求めるときに整級数 $f(x)$ を微分したが、 微分可能であるためには、 $x$ が $f(x)$ の収束半径の中の値である必要がある。 実際に $f(x)$ の収束半径を求めると $1$ であるため (以上証明略)、 $f(x)$ は
の範囲でならば微分できることが分かる。 この性質を踏まえて $(1)$ を求めている。