QR分解とは?  

2 行 2 列の場合
- 証明
- 具体例

n 行 n 列 の場合
- 証明
QR分解: $2 \times 2$ の場合
  任意の $2 \times 2$ の正則行列 $X_{2}$ は、 $2 \times 2$ の 直交行列 $Q_{2}$ と上三角行列 $R_{2}$ の積に分解できる。 すなわち、
QR分解2行2列
と分解できる。 これを ($2 \times 2$ の場合の) QR分解という。
証明
  $X_{2}$ の 列ベクトルを $\mathbf{x}_{1}, \mathbf{x}_{2}$ と表す。
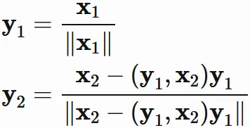
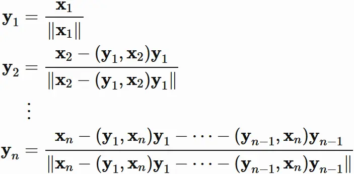
$X_{2}$ が正則行列であるので、 $\mathbf{x}_{1}$ と $\mathbf{x}_{2}$ は互いに線形独立である (証明は「正則行列⇔列ベクトルが線形独立」を参考)。 そこで グラムシュミットの直交化法によって、 互いに直交するノルムが 1 のベクトルを生成することができる。 すなわち、$\mathbf{y}_{1}, \mathbf{y}_{2}$ を
$$ \tag{1.1} $$ と定義すると、
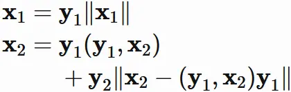
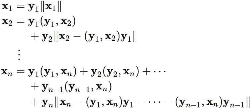
$$ \tag{1.2} $$ が成り立つ。 ここで $\delta_{ij}$ はクロネッカーのデルタであり、 $i,j=1,2$ である。 $(1.1)$ から $\mathbf{x}_{i}$ を
と表せるが、 行列を用いると
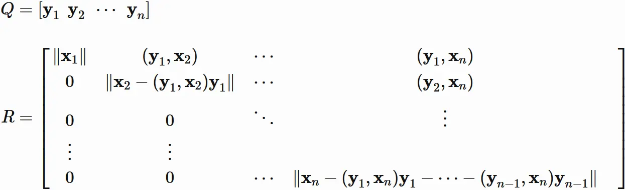
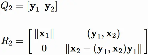
$$ \tag{1.3} $$ と表せる。 ここで行列 $Q_{2}$ と $R_{2}$ を
$$ \tag{1.4} $$ と定義すると、 $(1.3)$ は、
$$ \tag{1.5} $$ と表せる。 $(1.2)$ から
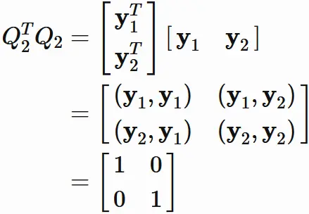
が成り立つので、$Q_{2}$ は 直交行列 である (正確には 「 直交行列 ⇔ 列ベクトルが正規直交系」を参考)。 また、$R_{2}$ は上三角行列であるので、 次の関係が示された。すなわち、 任意の $2 \times 2$ の正則行列 $X_{2}$ は、直交行列 $Q_{2}$ と上三角行列 $R_{2}$ の積によって $(1.5)$ にように分解できる。

QR分解の具体例: $2 \times 2$ の場合
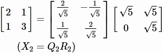
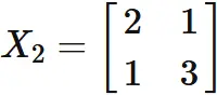
  次の行列 s
QR分解せよ。
解答例
  $X_{2}$ の行列式
であるので、 $X_{2}$ は正則行列である。 よって、QR分解可能である。
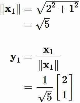
  $X_{2}$ の列ベクトルを とし、
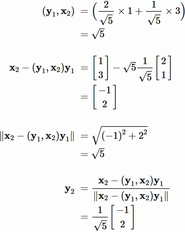
と表し、 $(1.1)$ に従って、$\mathbf{y}_{1}, \mathbf{y}_{2}$ を求めると、 $\mathbf{y}_{1}$ は
であり、$\mathbf{y}_{2}$ は
である。 $(1.4)$ に従って $Q_{2}$ と $R_{2}$ を求めると、
である。 これらにより、 $X_{2}$ が
QRの例
と分解できることは、 直接計算することによって確認できる。

QR分解: $n \times n$ の場合
  任意の正則行列 $X$ は、 直交行列 $Q$ と上三角行列 $R$ の積に分解できる。 すなわち、
QR分解
と分解できる。 これを正則行列のQR分解という。
証明
    $X$ を $n\times n$ の正則行列とし、 列ベクトルを $\mathbf{x}_{1}, \mathbf{x}_{2}, \cdots, \mathbf{x}_{n}$ と表す。
$X$ が正則行列であるので、 $\mathbf{x}_{1}, \mathbf{x}_{2}, \cdots, \mathbf{x}_{n}$ は互いに線形独立である (証明は「正則行列⇔列ベクトルが線形独立」を参考)。 そこで グラムシュミットの直交化法によって互いに直交するノルムが 1 のベクトルを生成することができる。 すなわち、
$$ \tag{3.1} $$ と定義すると、
$$ \tag{3.2} $$ が成り立つ。 ここで $\delta_{ij}$ はクロネッカーのデルタであり、 $i,j=1,2,\cdots,n$ である。 $(3.1)$ から $\mathbf{x}_{i}$ を
と表せるが、 行列を用いると
$$ \tag{3.3} $$ とまとめられる。 行列 $Q$ と $R$ を
と定義すると、上の式は、
$$ \tag{3.4} $$ と表せる。 $Q$ を構成する列ベクトル $\mathbf{y}_{1}, \mathbf{y}_{2}, \cdots, \mathbf{y}_{n}$ が $(3.2)$ を満たすので、 $Q$ は直交行列である。 すなわち、
を満たす (証明は 「 直交行列 ⇔ 列ベクトルが正規直交系」を参考)。 また、 $R$ は上三角行列であるので、次の関係が示された。すなわち、 任意の正則行列 $X$ は、 直交行列 $Q$ と上三角行列 $R$ の積によって $(3.4)$ のように分解できる。