グラム・シュミットの直交化法

目次
- グラムシュミットの直交化
- 図を用いた解説
- 具体例 (2次元)
- 具体例 (3次元)
- 証明
グラム・シュミットの直交化
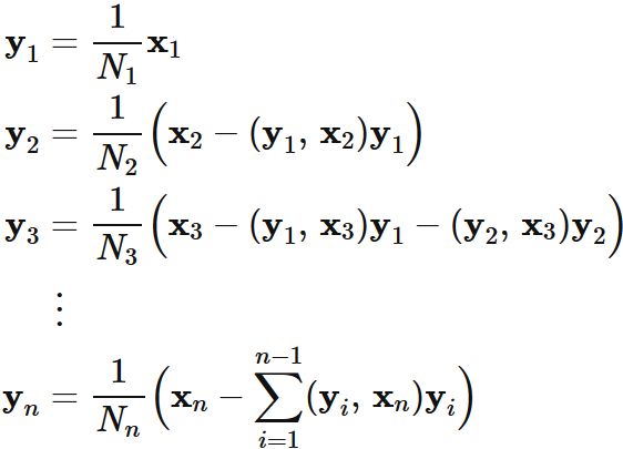
  $n$ 個の互いに線形独立なベクトル $ \mathbf{x}_{i} $ $ (i=1,2,\cdots,n) $ の線形結合によって、 $n$ 個のベクトル $\mathbf{y}_{i} $ を
グラムシュミット直交化
と定義する。 ここで $(\cdot, \cdot)$ はベクトル間の内積であり、 $N_{i}$ は規格化定数
グラムシュミット直交化の規格化
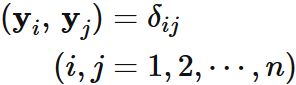
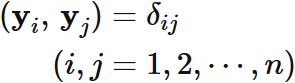
である ($\|\cdot \|$ はベクトルのノルム)。 このように定義した $\mathbf{y}_{i}$ は正規直交系を成す。 すなわち、
$$ \tag{a} $$ を満たす。 ここで $\delta_{ij}$ はクロネッカーのデルタである。
  このように線形独立なベクトルから正規直交系を構成する方法をグラム・シュミットの直交化 (Gram-Schimidt process)という。
図を用いた解説
  下図は、 $2$ 次元平面上の線形独立なベクトル $\mathbf{x}_{1}$ と $\mathbf{x}_{2}$ からグラムシュミットの直交化法によって、 直交するベクトル $\mathbf{y}_{1} $ と $ \mathbf{y}_{2}$ が生成される様子を表している。
グラムシュミット直交化の図
  定義より $ \mathbf{y}_{1} = \frac{\mathbf{x}_{1}}{\|\mathbf{x}_{1} \|} $ であるので、 $\mathbf{y}_{1}$ は $\mathbf{x}_{1}$ と同じ方向を向くノルムが $1$ のベクトルである。
  また、 $ (\mathbf{y}_{1}, \mathbf{x}_{2}) \mathbf{y}_{1} $ は $\mathbf{x}_{2}$ の $\mathbf{y}_{1}$ 方向の成分 ($\mathbf{x}_{2}$ の $\mathbf{y}_{1}$ 上への射影) である。 これを用いて $\mathbf{y}_{1}$ と直交するベクトルを定義するためには、 $\mathbf{x}_{2}$ から $\mathbf{y}_{1}$ 方向の成分を取り除けばよい。 すなわち、
とすればよい。 このベクトルは $\mathbf{x}_{2}$ と直交する。 これと同じ方向を向き、ノルムが $1$ のベクトルが $\mathbf{y}_{2}$ である。
  このようにグラム・シュミットの方法では、 ノルムを $1$ にすることと、 射影を用いて直交する方向を求めることを繰り返しながら、 正規直交系を構成する。
具体例: (2次元の場合)
  次の線形独立なベクトル
からグラム・シュミットの直交化法によって、 ノルムが $1$ で互いに直交する二つのベクトルを求めよ。
解答例
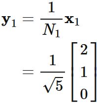
  グラム・シュミットの直交化法の定義をもとに計算する。 $\mathbf{x}_{1}$ のノルム $N_{1}$ は
であるので、 一つめのベクトル $\mathbf{y}_{1}$ は
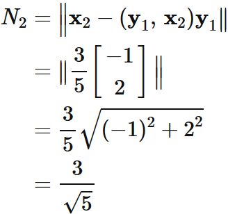
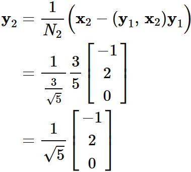
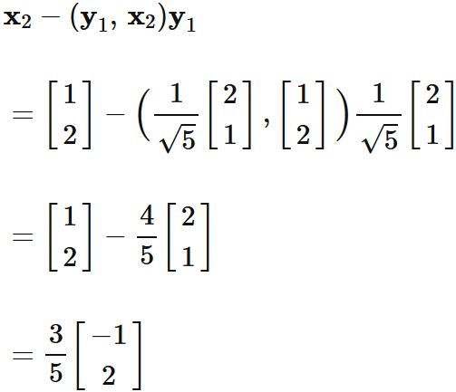
である。 二つめのベクトル $\mathbf{y}_{2}$ については、
であることと、 このベクトルのノルム $N_{2}$ が
であるので、
である。
  以上から、 二つのベクトル
からグラム・シュミットの直交化法によって生成されるベクトルは、
である (下図)。 これらのベクトルが実際に
を満たすことは、計算によって確かめられる。 ここで $\delta_{ij}$ はクロネッカーのデルタである。
グラム・シュミットの直交化法の例

具体例: (3次元の場合)
  次の線形独立なベクトル
からグラム・シュミットの直交化法によって、 ノルムが $1$ で互いに直交する三つのベクトルを求めよ。
解答例
  グラム・シュミットの直交化法の定義をもとに計算する。 $\mathbf{x}_{1}$ のノルム $N_{1}$ は
であるので、 一つめのベクトル $\mathbf{y}_{1}$ は
である。 二つめのベクトル $\mathbf{y}_{2}$ については、
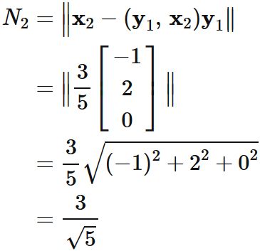
であることと、 このベクトルのノルム $N_{2}$ が
であることから、
である。
  三つめのベクトル $\mathbf{y}_{3}$ については、
であることと、 このベクトルのノルム $N_{3}$ が
であることから、
である。 以上から、 三つのベクトル
からグラム・シュミットの直交化法によって生成されるベクトルは、
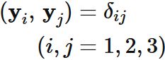
である。これらのベクトルが実際に
を満たすことは、計算によって確かめられる。 ここで $\delta_{ij}$ はクロネッカーのデルタである。

正規直交系を成すことの証明
  グラム・シュミットの直交化法によって定義されたベクトルが正規直交系を成すこと( $(a)$ 式 )
を証明する。
証明
  $n$ 個の互いに線形独立なベクトル $ \mathbf{x}_{i} $ $ (i=1,2,\cdots,n) $ によって、 $n$ 個のベクトル $\mathbf{y}_{i} $ を
$$ \tag{1} $$ と定義する。ここで
$$ \tag{2} $$ である。 $(1)$ と $(2)$ より
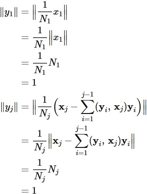
$$ \tag{3} $$ であるので、 $\mathbf{y}_{i}$ はノルムが $1$ のベクトルである。
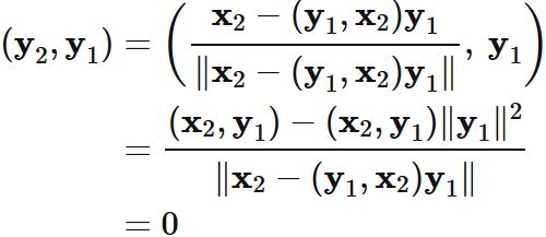
  また、 $ \mathbf{y}_{i} $ が互いに直交することは帰納法によって次のように示される。 まず、 内積の性質 と $ \| \mathbf{y}_{1} \|=1$ により
であるので、 $\mathbf{y}_{1}$ と $\mathbf{y}_{2}$ は直交するベクトルである。 続いて
$$ \tag{4} $$ が互いに直交しあうベクトルである仮定する。 すなわち、
を仮定する。 このとき任意の $\mathbf{y}_{j}$ $(j=1,2,\cdots, k)$ に対して、 $(1)(3)$ と内積の性質から
であるので、$(4)$ に $\mathbf{y}_{k+1}$ を追加した $k+1$ 個のベクトルの集合
は互いに直交し合う。
  したがって、帰納法により $(1)(2)$ で定義した $n$ 個のベクトルは互いに直交するベクトルである。 すなわち、
$$ \tag{5} $$ が成り立つ。
  以上の $(3)(6)$ をまとめると、
と表せるので、 $\{ \mathbf{y}_{i} \}$ は正規直交系を成す。