ベクトルの直交性とは

ベクトルの直交性
  $0$ でないベクトル $\mathbf{v}_{1}$ と $\mathbf{v}_{2}$ の内積が $0$ であるとき、 すなわち、
であるとき、 $\mathbf{v}_{1}$ と $\mathbf{v}_{2}$ が直交するという
  同じように、 $0$ でない $n$ 個のベクトル
のそれぞれの間の内積が $0$ になるとき、 すなわち、
であるとき、互いに直交するベクトル、 または直交系を成すベクトルであるという。
具体例 1:
  二つのベクトル
の内積を
と定義するとき、 二つのベクトル
は直交する。
証明
 

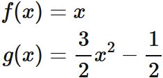
具体例 2:
  関数 $f(x)$ と関数 $g(x)$ の内積を
と定義するとき、
は直交する。
証明
 

直交系は線形独立
  直交系を成す $n$ 個のベクトル
は、互いに線形独立なベクトルである。
証明
  $n$ 個のベクトル
$$ \tag{1} $$ は直交系と成すので、
$$ \tag{2} $$ が成り立つ。 ここで $\alpha_{i}$ $(i=1,2,\cdots, n)$ が
$$ \tag{3} $$ を満たす係数であると仮定する。 このとき、 $(2)$ と $(3)$ より、
であるが、$(1)$ が直交系を成すので、 $\mathbf{v}_{i} \neq 0$ であることから、
である (内積の定義を参考)。 ゆえに、
$$ \tag{4} $$ である。
  以上から $(3)$ を満たす係数 $\alpha_{i}$ が $(4)$ になるので、 直交系 $(1)$ は互いに線形独立なベクトルである。

ピタゴラスの定理
  ベクトル $\mathbf{v}_{1}$ と $\mathbf{v}_{2}$ が直交するとき、
が成り立つ。
証明
  $\mathbf{v}_{1}$ と $\mathbf{v}_{2}$ が直交するならば、 すなわち、
であるならば、 内積の性質により、
が成り立つ。