一様連続性

一様連続
  関数 $f(x)$ が区間 $I$ 上で定義されているとする。 任意の正の数 $\epsilon$ に対して正の数 $\delta$ が存在し、 $|x - a| \lt \delta$ を満たす全ての $x,a \in I$ に対して
一様連続
が成り立つとき、 $f(x)$ が区間 $I$ で一様連続であるという。
具体例
  区間 $I = [0,1)$ で定義される関数
が $I$ で一様連続であることを示す。
  任意の正の数 $\epsilon$ に対して、
$$ \tag{1} $$ と定義し、
$$ \tag{2} $$ を満たす任意の $x,a$ について考える。

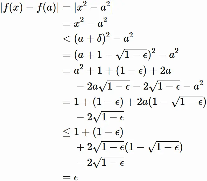
(i) $\epsilon \leq 1$ かつ $x \geq a$ の場合
  $(2)$ より
の範囲の任意の $x$ を考えることになるが、 $x \in I$ であるので $x \lt 1$ を満たさなくてはならない。 これより、
を満たさなくてはならない。 これと $(1)$ より
が成り立つ。 以上より
が成り立つ。

(ii) $\epsilon \leq 1$ かつ $x \lt a$ の場合
  (i) と同じように考えて、
が示される ((i) の証明の $x$ と $a$ が入れ替わった議論になる)。


(iii) $\epsilon \gt 1$ の場合、 $x,a \in [0,1]$ なので、
が成り立つ ($\delta = 1$ である必要はない)。


  以上 (i)(ii)(iii) より、 任意の正の数 $\epsilon$ に対して $|x - a| \lt \delta$ を満たす全ての $x,a \in I$ に対して
が成り立たせる 正の数 $\delta$ が存在することが示されたので、 $f(x)$ は区間 $I$ で一様連続であるという。

具体例 (一様連続でない例)
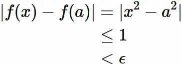
  $I = [0,1)$ で定義される関数
は $I$ で一様連続でない。
解説
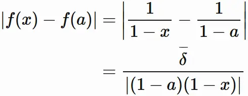
  ある正の数 $\delta$ によって、
が成り立つ任意の $x,a \in I$ を考える。
と置くと、
と表されることから分かるように、 $ |f(x) - f(a)| $ は $x \rightarrow 1$ において、いくらでも大きな値になりうる。 言い換えると、 任意の正の数 $\epsilon$ に対して、 十分に $1$ に近い $x$ には
が成り立たない。 以上の議論はどんな正の $\delta$ についても成り立つ。 これより、 任意の正の数 $\epsilon$ に対して $|x - a| \lt \delta$ を満たす全ての $x,a \in I$ に対して
を成り立たせる 正の数 $\delta$ が存在しないことが分かった。 よって、 $f(x)$ は $I$ で一様連続でない。

一様連続 ⇒ 連続
  関数 $f(x)$ が区間 $I$ で一様連続であるならば、 その区間内のどの点でも連続である。
証明
  関数 $f(x)$ が区間 $I$ で一様連続であるので、 任意の正の数 $\epsilon$ に対して正の数 $\delta$ が存在し、 $|x - a| \lt \delta$ を満たす全ての $x,a \in I$ に対して
が成り立つ。
  したがって、$I$ に含まれる任意の点 $b$ に対して、
$$ \tag{1} $$ を満たす全ての $x \hspace{1mm} (\in I)$ に対して、
が成り立つ。 よって、$f(x)$ は $I$ に含まれる任意の点で連続である。

閉区間で連続   ⇒   一様連続
  関数 $f(x)$ が有界閉区間 $[p, \hspace{0.5mm} q]$ で連続であるならば、 その区間で一様連続である。
証明
  はじめに正の数 $\epsilon$ に対して、命題

「 正の数 $\delta$ が存在し、 $|x-y| \lt \delta$ を満たす全ての $x,y \in [p, \hspace{0.5mm} q]$ に対して、
が成り立つ」

ことを 「命題$(\epsilon, p, q)$ が成り立つ」と略記することにする。
  また、 命題$(\epsilon, p, x)$ が成り立つ $x$ の全体を $x (\epsilon) $ と表す。すなわち、
とする。
  $ x(\epsilon)$ は $q$ 以下であるから $x(\epsilon) $ には上限 がある。 それを
$$ \tag{1} $$ と表すと、
$$ \tag{2} $$ である。 $(1)$ は十分に小さな正の数 $\Delta$ に対して
$$ \tag{3} $$ ことを意味する。 $\Delta$ は正の数であればどれだけ小さくてもかまわない。
  $s \lt q$ であると仮定し、以下で矛盾を導く (背理法)。
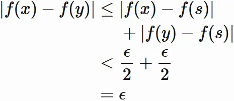
  $f$ が $s$ で連続であるから、 正の数 $\frac{\epsilon}{2}$ に対して、 正の数 $\delta'$ が存在し、
が成り立つ。これを用いると、
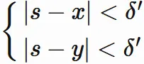
$$ \tag{4} $$ であるならば、
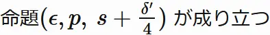
$$ \tag{5} $$ が成り立つことが分かる。 $(4)$ を書き直すと $x,y \in (s-\delta', \hspace{0.5mm}s+\delta')$ であるが、 この区間に含まれる閉区間 $[s- \frac{\delta'}{4}, \hspace{1mm}s + \frac{\delta'}{4} ]$ では $|x-y| \lt \frac{\delta'}{2}$ である全ての $x,y$ が $(4)$ を満たす。よって、 $|x-y| \lt \frac{\delta'}{2}$ である全ての $x,y$ が $(5)$ を満たす。 このような正の数 $\frac{\delta'}{2}$ が存在することが分かったので、
$$ \tag{6} $$ $\Delta = \frac{\delta'}{4}$ の場合の $(3)$ と $(6)$ と補題より、

これより、
を得るが、これは $(1)$ と矛盾する ($s$ が $x(\epsilon)$ の上限であることと矛盾する) 。 よって、背理法により
である。これと $(2)$ より、
である。これは十分に小さな正の数 $\Delta'$ に対して、
$$ \tag{7} $$ ことを意味する。 $\Delta'$ は正の数であればどれだけ小さくてもかまわない。
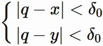
  $x(\epsilon)$ の上限が $q$ であることが分かった。 以下では $x(\epsilon)$ が $q$ を含むことを示す。 $f$ が $q$ で連続であるので、 正の数 $\frac{\epsilon}{2}$ に対して正の数 $\delta_{0}$ が存在し、
が成り立つ。 これを用いると、
$$ \tag{8} $$ であるならば、
$$ \tag{9} $$ が成り立つ ($(5)$ を参考)。 $x,y \leq q$ を加味して $(8)$ を書き直すと $x,y∈(q−\delta_{0},q]$ であるが、 この区間に含まれる閉区間 $[q-\frac{1}{2}\delta_{0}, q] $ では、 $|x-y| \lt \frac{\delta_{0}}{2}$ を満たす全ての $x,y$ は $(8)$ を満たす。 よって、 $|x-y| \lt \frac{\delta_{0}}{2}$ を満たす全ての $x,y$ は $(9)$ が成り立つ。 このような正の数 $ \frac{\delta_{0}}{2} $ が存在することが分かったので、
$$ \tag{10} $$ $\Delta' =\frac{\delta_{0}}{2}$ の $(7)$ と $(10)$ と補題から、
が成り立つ。 以上の議論が任意の正の $\epsilon$ について成り立つので、 $f$ が $[p,q]$ で一様連続である。


補題
  以下の補題の証明する。$a\lt b \lt c $
(A) より、 $x,y \in [a,b]$ である全ての $x,y$ には、ある正の数 $\delta_{1}$ が存在し、
$$ \tag{11} $$ が成り立つ。
  (B) より、 $x,y \in [b,c]$ である全ての $x,y$ には、ある正の数 $\delta_{2}$ が存在し、
$$ \tag{12} $$ が成り立つ。
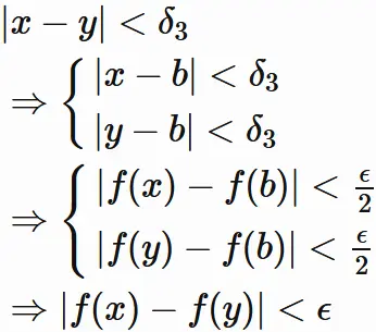
  $a \leq x \lt b \lt y \leq c$ の場合、または、 $a \leq y \lt b \lt x \leq c$ の場合、 すなわち $x$ と $y$ の間に $b$ がある場合、 $f$ が $b$ 連続であるので、正の数 $\frac{\epsilon}{2}$ に対して、 正の数 $ \delta_{3} $ が存在し、
同じように、
が成り立つ。 これらから、
$$ \tag{13} $$ が成り立つ ($(5)$ を参考)。
  ここで、
とすると、 $(11)(12)(13)$ より、 任意の正の数 $\epsilon$ に対して、 区間 $[a,c]$ に含まれる全ての $x,y$ に
を成り立たせる正の数 $\delta$ が存在することが確かめられた。 すなわち、
が成り立つ。