左極限・右極限・不連続点とは?

左極限・右極限
  負の方向から (または数直線の左側から) とる極限を左極限 (left-sided limit) という。 $x=a$ における関数 $f(x)$ の左極限は
と表される。左極限は
と表すこともある。
左極限の図
一方、正の方向から (または数直線の右側から) とる極限を右極限 (right-sided limit) という。 $x=a$ における関数 $f(x)$ の右極限は
と表される。右極限は
と表すこともある。
右極限の図
左極限と右極限を総称して片側極限 (one-sided limit) と呼ぶ。
補足
  より正確には、片側極限は $\epsilon - \delta$ 論法を通じて以下のように定義される。

左極限
  $x=a$ に対する $f(x)$ の左極限 $L$ とは以下のように定義される。 すなわち、 任意の正の $\epsilon$ に対して正の数 $\delta$ が存在し、
であるならば、
が成り立つ。 このとき、
と表される。

右極限
  $x=a$ に対する $f(x)$ の右極限 $L$ とは以下のように定義される。 任意の正の $\epsilon$ に対して正の数 $\delta$ が存在し、
であるならば、
が成り立つ。このとき、
と表される。

両側極限
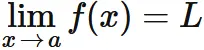
  左極限右極限が収束し、 双方の極限値が等しいとき、 すなわち、
両側極限
であるとき、 $L$ を ($x$ を $a$ に近づけたときの) 両側極限 (two-sided limit) と呼び、
と表す。
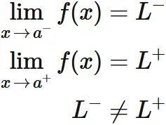
第一種不連続点
  左極限右極限の両方が収束するが、 等しくないとき、すなわち、
のとき、$x=a$ を $f$ の第一種不連続点 (discontinuity of the first kind) または 跳躍不連続点 (jump discontinuity) と呼ぶ。
具体例
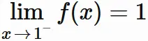
  関数
は $x=1$ の左極限では $1$ に収束し、すなわち、
であり、右極限では $0$ に収束し、すなわち、
である。
第一種不連続点の例
よって、$x=1$ で $f$ の左極限と右極限が収束はするが等しくないので、 $x=1$ は関数 $f$ の第一種不連続点である。

第二種不連続点
  左極限右極限のどちらか一方、 または両方が存在しないとき、 第二種不連続点という。
具体例
は、全ての $x$ で第二種不連続点である。
  例えば、 $x$ を左から $0$ に近づけるとき、 $f(x)$ は $0$ のいくらでも近くで $1$ となる点を見つけられる。 それでいて、 それよりもさらに $0$ の近くで $-1$ となる点を見つけることができる。 また、それよりもさらに $0$ の近くで $1$ となる点を見つけることができる (以下繰り返し)。 よって、 $f(x)$ には $x=0$ に左極限がない。 同じように右極限もない。 $x=0$ は $f(x)$ の第二種不連続点である。 同様のことが全ての点で成り立つ。