逆関数の微分

目次
- 逆関数の微分 (証明)
- 例1:   一次関数の微分
- 例2:   逆三角関数の微分
- 例3:   対数関数の微分
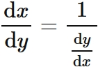
逆関数の微分
  関数 $y=f(x)$ がある区間で微分可能な単調増加関数であり、 $f'(x) \neq 0$ であるならば、
逆関数の微分
が成り立つ。
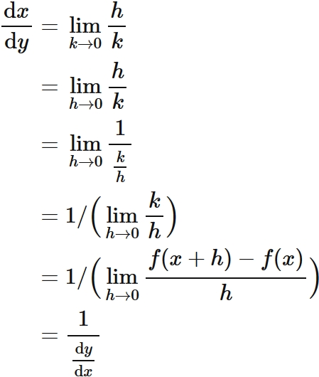
証明
  $f(x)$ は微分可能であるので連続関数である。 したがって、 $f(x)$ は連続かつ単調増加する関数である。 ゆえに、$y=f(x)$ には逆関数
$$ \tag{1} $$ が存在する (連続かつ単調増加 ⇒ 逆関数を参考)。
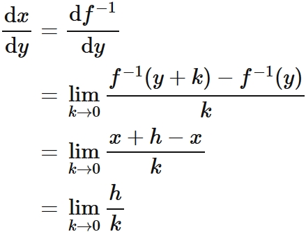
  $f$ は単調増加関数であるので、 正の値 $h$ に対して、
$$ \tag{2} $$ とすると、 $ k>0 $ である。また、
であるので、
$$ \tag{3} $$ である。 $(1)$ と $(3)$ と微分の定義から
$$ \tag{4} $$ である。
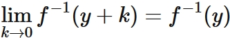
  ここで、逆関数 $f^{-1}$ の連続性により、
であるので、
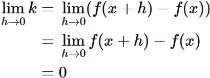
が成り立つ (関数の和の極限の性質を参考)。 一方で、 関数 $f$ の連続性により、
であるので、
が成り立つ。 以上から、
が成り立つ。 このことから、
である (下の補足 Aを参考)。
  これと $(4)$ と $(2)$ から
を得る。4つめの等号では関数の商の極限の性質を用いた。
補足 A:
  上の証明で用いた
を証明する。

証明
  はじめに、
と置くと、 任意の正の値 $\epsilon$ に対して、
を満たす正の数 $\delta$ が存在する。 この $\delta$ に対して、
であることから、
を満たす正の数 $\delta'$ が存在する。 これらから、 任意の正の値 $\epsilon$ に対して、
であるので、
である。ゆえに
が成り立つ。
  (ここでは極限が収束すること仮定したが、発散するとしても同様の関係が示される。)


補足
  上の定理は単調増加関数だけでなく単調減少関数に対しても成り立つ。
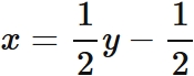
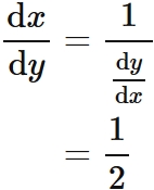
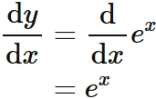
例: 一次関数の微分
  関数
の逆関数の微分を求めよ。
解答例
  逆関数の微分公式により、
である。 この結果は、
から直接確かめることが出来る。

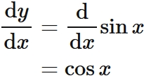
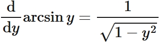
例: 逆三角関数の微分
  区間 $ - \frac{\pi}{2} \leq x \leq \frac{\pi}{2} $ で定義される三角関数
の逆三角関数
の微分は、
である。

解答例
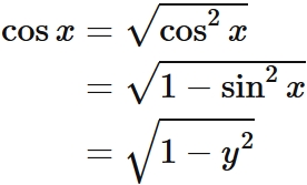
  三角関数の微分
であること、 および、区間
において、$\cos x \geq 0$ が成り立つので、
であることを用いると、 逆関数の微分公式により、
である。
補足 :
  区間 $ - \frac{\pi}{2} \leq x \leq \frac{\pi}{2} $ で定義される三角関数
連続かつ単調増加であるので、逆関数が存在し
と表される。 これを $\sin$ の逆三角関数という。

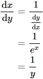
例: 対数関数の微分
  指数関数
の逆関数 (対数関数) の微分は、
の微分は、
である。
解答例
 
であるので、 逆関数の微分公式により、
である。