ロピタルの定理   ~証明と具体例~

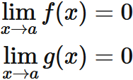
ロピタルの定理   $\frac{0}{0}$ 型
  関数 $f(x)$ と $g(x)$ が $x=a$ の近傍で微分可能
$$ \tag{1.1} $$ のとき、 $f(x)/g(x)$ の極限と $f'(x)/g'(x)$ の極限は等しい。すなわち、
ロピタルの定理
が成り立つ。
証明
  関数 $f(x)$ と $g(x)$ は $x=a$ の近傍で微分可能であることから、 これらはともに $x=a$ の近傍で連続関数である (微分可能⇒連続を参考)。 したがって、コーシーの平均値の定理より、 $a$ の近傍の点 $x$ に対して、
$$ \tag{1.2} $$ を満たす $x$ と $a$ の間の点 $c$ が存在する。 $f(x)$ が $x=a$ で連続であるので、
が成立する。一方で、仮定 $(1.1)$ より
であることから、
である。 同じように $ g(a) = 0 $ であるので、 $(1.2)$ から
$$ \tag{1.3} $$ である。
  $c$ が $x$ と $a$ の間の数であることから、 $x \rightarrow a$ の極限で、 $c \rightarrow a$ である (補足参考)。このことから
を得る。
補足
  $x \rightarrow a$ における $\frac{f(x)}{g(x)}$ の極限値を $l$ とする。 すなわち、
$$ \tag{1.4} $$ とする。この式は、任意の正の数 $\epsilon$ に対して、
$$ \tag{1.5} $$ を満たす正の数 $\delta$ が存在することを表す。
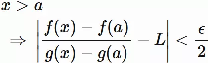
  $c$ が $x$ と $a$ の間の点であることから
$$ \tag{1.6} $$ と表せる。 また正の数 $\delta'$ を
$$ \tag{1.7} $$ と定義すると、 $(1.3)$ $(1.5)$ $(1.6)$ $(1.7)$ より、
が成り立つ。 任意の正の数 $\epsilon$ に対して、 この関係を満たす正の数 $\delta'$ が存在するので、
である。 これと $(1.4)$ から
が成り立つ。

具体例
  ロピタルの定理を用いて、極限値
ロピタルの定理の例題
を求めよ。
解答例
と置くと、 $f(x)$ と $g(x)$ は $x=0$ で微分可能であり、
である。したがって、ロピタルの定理により、
である。

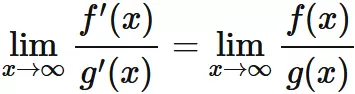
系   $( \rightarrow \infty)$ の場合
  関数 $f(x)$ と $g(x)$ が $(b,\infty)$ で微分可能
のとき、 $f(x)/g(x)$ の極限と $f'(x)/g'(x)$ の極限は等しい。すなわち、
が成り立つ。
解答例
とすると、
であるので、
と表せる。 右辺にロピタルの定理を適用すると、
であるので、
が成り立つ。

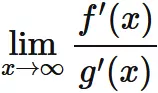
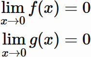
ロピタルの定理   $\frac{\infty}{\infty}$ 型
  関数 $f(x)$ と $g(x)$ が 微分可能
$$ \tag{4.1} $$ であり、
$$ \tag{4.2} $$ が存在するならば (収束するならば)、
が成り立つ。
証明
  $(4.2)$ の極限値を
$$ \tag{4.3} $$ と表す。 これより、任意の正の数 $\epsilon$ に対して
$$ \tag{4.4} $$ を満たす $a$ が存在する。 この $a$ に対して、 コーシーの平均値の定理から、
$$ \tag{4.5} $$ を満たす $c$ が
の範囲に存在する。 $c \gt a$ であるから、 $(4.4)$ より、
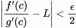
も成り立つ。 これと $(4.5)$ から、
$$ \tag{4.6} $$ が成り立つ。 ところで、
を用いると、 $(4.1)$ と極限の性質から
が成り立つ。したがって、
$$ \tag{4.7} $$ を満たす $b$ が存在する。 そこで、 $b$ と $a$ よりも大きな数を $b'$ とすると、 $(4.6)$ と $(4.7)$ から
が成り立つ。 これと三角不等式を用いると、 $ x \gt b' $ であるならば、
が成り立つ。 このような $b'$ が存在することが確かめられたので、
である。 最後に $(4.3)$ から
を得る。