接平面

接平面の式
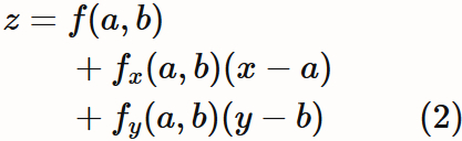
  関数 $f(x, y)$ が $C^{1} 級$ の関数(偏微分可能であり、偏微分が連続)であるとき、 点 $(a, b)$ における $f(x, y)$ の接平面は、
接平面の式
と表される (定義を参考)。 ここで $f_{x}$ と $f_{y}$ はそれぞれ $f$ の $x$ と $y$ の偏微分である。
接平面の計算例
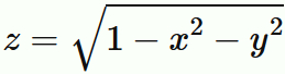
  半径 $1$ の球
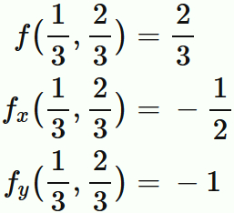
上の点 $A$ $(\frac{1}{3}, \frac{2}{3}, \frac{2}{3})$ 上の接平面を求める。
  点 $A$ 付近において
であるので、 $z=f(x,y)$ と表すと、
であることから、
であるので、 接平面の方程式は、
である。 整理すると、
である。
近接点を通る平面 = 接平面 (定性的な議論)
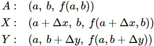
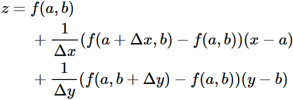
関数 $z=f(x,y)$ 上の $3$ 点
を通る平面の $\Delta x, \Delta y \rightarrow 0$ の極限は 接平面の式
接平面の式
と一致する。
  ここで、 点 $X$ は 点 $A$ から $x$ 座標が $\Delta x$ だけずれた位置にある点であり、 点 $Y$ は $A$ から $y$ 座標が $\Delta y$ だけずれた位置にある点である。

証明
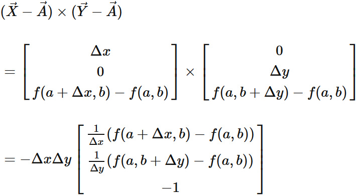
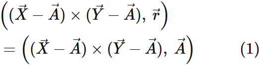
  3 点 $A$, $B$, $C$ の位置ベクトルをそれぞれ
と表すとき、 3点を通る平面の方程式は、
と表される。 ここで $\vec{r}$ は
であり、平面上の点を表す。 また $(\cdot, \cdot)$ と $\times$ は それぞれ 3 次元ベクトルの内積と外積である。
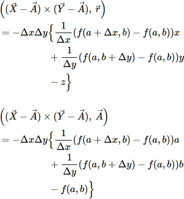
  計算して行くと、
であり、
であるので、 $(1)$ より平面の方程式は、
となる。 整理すると、
である。
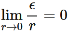
  この式は、 $\Delta x, \Delta y \rightarrow 0$ の極限において、
となる。

  このように、 $3$ 点を通る平面の極限として接平面の式が導かれるが、 ここで使われた $3$ 点は着目している点 $A$ と $x$ 座標だけ異なる点 $X$ と $y$ 座標だけ異なる点 $Y$ である。 従って、 $x$ 座標も $y$ 座標も異なる任意の点を使って同様の議論が成り立つかどうか、またそのための条件が何なのかについては、 はっきりと示されていない。
  そこで一般的には次のように接平面を定義し、接平面の式が導かれる。
接平面の定義
  関数 $f(x,y)$ 上の点 $A$: $(a,b, f(a,b))$ を通る平面
を $P$ とする。 また、$f(x,y)$ と $P$ との差 $\epsilon $ を
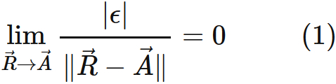
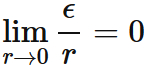
と定義する。このとき
を $0$ にする極限において、
  を満たす平面を関数 $f(x,y)$ 上の点 $A$ における接平面と定義する。

解説
  接平面の定義を満たす平面が実際に関数 $f(x,y)$ と接することを示す。
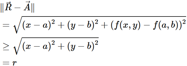
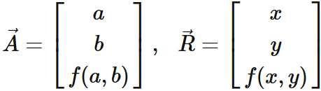
  関数 $f(x,y)$ 上の二点の位置ベクトルを
と表す。 このとき、
であるので、
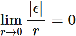
が成り立つ。 したがって、
であるならば、
が成り立つ。 ここで
を用いた。
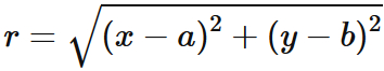
  分母にある $|\epsilon|$ は定義から、
と表せる。ここで $\vec{N}$ は平面 $P$ の法線ベクトル
である。 したがって、 $|\epsilon|$ は点 $\vec{R}$ と平面 $P$ との間の距離 (垂線の足の長さ) を表す。
そこで $\vec{R}-\vec{A}$ と平面との成す角を $\theta$ とすると、 $(1)$ は、
と表される。 これより、
を得る。
  ここで $\tan \theta$ は、 平面 $P$ に対する ベクトル $\vec{R} - \vec{A}$ の傾きである。 したがって、 この傾きが $0$ に近づくということは、 $\vec{R}$ が $\vec{A}$ に近づくにつれて、 $f(x,y)$ の傾きと平面 $P$ の傾きが等しくなって行くことを意味する。
  このような意味で
を満たす平面は $f(x,y)$ の接する平面である。

  この接平面の定義と次の定理から接平面の式が導かれる。
偏微分が連続 ⇒ 全微分可能
  二変数関数 $f(x,y)$ が偏微分可能であり、 その偏微分が連続関数であるならば、 $f(x,y)$ は全微分可能な関数であり、
によって定義される $\epsilon$ に対して、
が成り立つ。 ここで $r$ は
である。
接平面の式の導出:
  ここで
と置くと、 これは関数 $f(x,y)$ 上の点 $(a, b , f(a,b))$ を通り、 法線ベクトルが
である平面を表す式である。 これを用いると、上の定理は次のように表される。 すなわち、
によって定義される $\epsilon$ に対して、
が成り立つ。
  したがって、 接平面の定義により、 平面 $(2)$ は点 $(a,b, f(a,b))$ 上での関数 $f(x,y)$ の接平面である。