点と平面の距離を求める公式

点と平面の距離   (公式)
  法線ベクトルが $\mathbf{n}$ であり、 符号付き距離が $h$ の平面
と、 点 $\mathbf{x}$ との間の距離 $D$ は、
点と平面の距離
である。 ここで $(\cdot, \cdot)$ は標準内積を表す記号である。 また $\mathbf{n}$ は規格化されている ($ \| \mathbf{n} \| = 1 $) ものとする。
証明
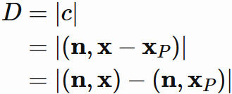
  点と平面の間の距離 $D$ とは、その点と平面上への投影点との間の距離である (下図)。 よって、 点の位置を $\mathbf{x}$ とし、 平面 $P$ 上への投影点の位置を $\mathbf{x}_{P}$ とすると、
$$ \tag{1} $$ と表される。ここで $\|\cdot \|$ はベクトルのノルムを表す記号である。
点と平面の距離の図

  $\mathbf{x}$ は $\mathbf{x}_{P}$ から面の法線 $\mathbf{n}$ 方向に位置するので、
$$ \tag{2} $$ と表せる(上図)。 ここで $c$ は定数であるが、 $(1)$ と $(2)$ から
$$ \tag{3} $$ であるので、 $c$ の絶対値が距離 $D$ に等しい。 再び $(2)$ を用いると、
が成立するので、
である。 これと $(3)$ から、
$$ \tag{4} $$ と表される。 ところで、$\mathbf{x}_{P}$ は平面 $P$ 上の点であるので、 平面の方程式
を満たす。 従って、 $(4)$ から、
を得る。
補足
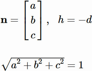
  規格化された法線ベクトル $\mathbf{n}$ と符号付き距離 $h$ がそれぞれ
と表されている場合、 点
と平面との距離は、
と表される。

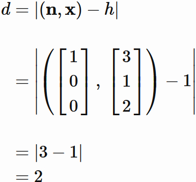
点と平面の距離   (例題)
  平面
と点 $(3,1,2)$ との距離が $2$ であることを公式を使って確かめよ。
解答例
  図で表せばわかるように明らかに距離は $2$ であるが、 それを公式を用いて確かめてみる。
平面 $x=1$ の法線ベクトル $\mathbf{n}$ と符号付距離 $h$ はそれぞれ
である。 したがって、
である。