点と直線の距離を与える公式

 
公式
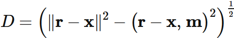
  位置が $\mathbf{x}$ の点を通り、 規格化された方向ベクトルが $\mathbf{m}$ である直線と、 位置が $\mathbf{r}$ の点との間の距離 $D$ は、
点と直線の距離の公式
である。

証明
  位置が $\mathbf{r}$ の点から直線に下ろした垂線の足 (投影点) を $\mathbf{r}_{P}$ とする。 点と直線の間の距離 $D$ は、 $\mathbf{r}$ と $\mathbf{r}_{P}$ の間の距離である。 すなわち、
である。 ここで $\| \cdot \|$ はノルムを表す記号である。
  直線上の点 (位置 $\mathbf{x}$) と $\mathbf{r}$ と $\mathbf{r}_{P}$ が成す直角三角形に着目すると、 三平方の定理により、
が成り立つことが分かる (下図)。
これより、
$$ \tag{1} $$ である。 ここで $\mathbf{r} - \mathbf{x}$ と $ \mathbf{r}_{P} - \mathbf{x} $ の成す角を $\theta$ とすると、 三角関数の定義より、
$$ \tag{2} $$ が成り立つ。 また、 $\theta$ は $\mathbf{r} - \mathbf{x}$ と直線の方向ベクトル $\mathbf{m}$ との成す角でもあるので、それらの間の内積は、
と表せる。 ここで内積とコサインの関係と、 $\mathbf{m}$ が規格化されていること $(\| \mathbf{m} \| =1)$ を用いた。 これより、
であるので、 $(2)$ に代入すると、
と表せる。 これと $(1)$ から、
を得る。
簡単な具体例
  点 $(1,2,0)$ を通り、方向ベクトルが
である直線と、点 $(3,4,1)$ との間の距離を求めよ。
証明
  点と直線の距離の公式と照らし合わせて考える。
直線上の一点 $\mathbf{x}$ と直線の方向ベクトル $\mathbf{m}$ はそれぞれ
である。この直線と点
との距離の二乗は、 公式より、
であるので、
である。