直線上への投影点  ~ 垂線の足の座標値 ~

公式と証明
  位置ベクトルが $\mathbf{x}_{0}$ である点 $X_{0}$ を通り、 方向ベクトルが $\mathbf{m}$ である直線を $L$ とする。 $L$ 上の任意の点は
と表される。ここで $t$ はパラメータであり、 $\mathbf{m}$ は規格化されている ($\|\mathbf{m} \|=1$: $\|\cdot \|$ はノルムを表す記号) とする。
  このとき、任意の点 $X$ から この直線に下した垂線の足 (投影点) の位置ベクトル $\mathbf{p}$ は、
によって与えられる。ここで $\mathbf{x}$ は $X$ の位置ベクトルである。
以下に証明を示す。
証明
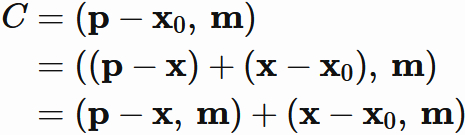
  点 $X$ から直線 $L$ に下した垂線の足を $P$ とする。 $P$ の位置ベクトル $\mathbf{p}$ を $\mathbf{p}$ は、
$$ \tag{1} $$ と表す。ここで $\mathbf{p}-\mathbf{x}_{0}$ は $X_{0}$ から $P$ に向かうベクトルであり、 直線 $L$ の方向ベクトル $\mathbf{m}$ と平行なベクトルである。 したがって、
$$ \tag{2} $$ と表せる (下図参) 。
これと $\| \mathbf{m} \| = 1$ であることから、
が成り立つ。 これより、
と表せるが、 右辺の $\mathbf{p}-\mathbf{x}$ は $\mathbf{m}$ と直交するので (上図)、
である (ベクトルの直交性を参考) 。 したがって、
である。 これと $(2)$ から
であるので、 $(1)$ に代入すると、
を得る。

例題
  $3$ 次元空間の点
を通り、方向ベクトルが
を通る直線上に、点
から下した垂線の足の座標 $\mathbf{p}$ を求めよ。

解答例
  公式標準内積の定義を用いると、
と求まる。