3次元平面の求め方と性質

平面の方程式
  任意の2点を結んだ直線が必ず1本のベクトル $\mathbf{n}$ と直交する集合を平面と呼ぶ。 平面上にある任意の点 $\mathbf{x}$ は、
平面の方程式
を満たす。ここで $(\cdot, \cdot)$ は内積を表す記号である。
  この式を平面の方程式といい、 $\mathbf{n}$ を平面の法線ベクトルと呼ぶ。 また、 $h$ を符号付き距離(signed distance)という。
平面の方程式の図

解説
  平面上の任意 $2$ 点の位置を表すベクトルを $\mathbf{x}_{1}$, $\mathbf{x}_{2}$ とすると、 それらを通る直線は、 $ \mathbf{x}_{1} - \mathbf{x}_{2} $ の方向を向く(上図) 。 この方向が $\mathbf{n}$ と直交するので、
が成立する (この式が $\mathbf{n}$ を定数倍しても成り立つことから分かるように、 $\mathbf{n}$ の大きさは何であってもよいので、便宜上 $\| \mathbf{n} \| = 1$ とする)。 これより、
である。 従って、 $\mathbf{x}_{1}$ と $\mathbf{x}_{2}$ は $\mathbf{n}$ との内積が同じ値になる。 この値を $h$ とすると、
$$ \tag{1} $$ である。
  ところで、 $\mathbf{x}_{1}$, $\mathbf{x}_{2}$ は平面上の任意の点の位置を表すベクトルであったので、 $(1)$ は、$\mathbf{x}_{1}$ と $\mathbf{x}_{2}$ だけでなく、 平面上の任意の点の位置 $\mathbf{x}$ に対して成立する。 すなわち、
$$ \tag{2} $$ が成立する。
  このように、平面上の任意の点 $\mathbf{x}$ は、 $\mathbf{n}$ と $h$ によって定義される条件 $(2)$ を満たす。 これを平面の方程式と呼ぶ。
  符号付き距離 $h$ の意味

続き
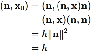
  原点から $\mathbf{n}$ の方向に伸びる直線を $L$ とする。 平面上の任意の点 $\mathbf{x}$ の直線 $L$ 上への射影点を $\mathbf{x}_{0}$ とすると、
$$ \tag{3} $$ である (ここで $\| \mathbf{n} \| = 1$ を用いた)。 これより、
であるので、 射影点 $\mathbf{x}_{0}$ は平面の方程式 $(2)$ を満たす。よって、 $\mathbf{x}_{0}$ は平面上の点である(下図)。
符号付き距離の意味の図
  また、 $(2)$ と $(3)$ から、射影 $\mathbf{x}_{0}$ は、
$$ \tag{4} $$ と表せる。 従って、 $\mathbf{x}_{0}$ は 原点から $\mathbf{n}$ の方向に $h$ だけ進んだ位置にある平面上の一点である。
  平面上の任意の点 $\mathbf{x}$ を
と表すと、 第一項と第二項は内積するベクトルになる。 実際 $(2)$ と $(4)$ から
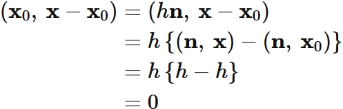
が成立する。 これより、 $ \mathbf{x} $ のノルムの二乗は、
となるので、
が成立する。
  この関係は、平面上の点の中で $\mathbf{x}_{0}$ が 原点に最も近づく点であることを表している。 そこで、原点から平面までの距離 $H$ を、原点から $\mathbf{x}_{0}$ までの距離として定義すると、 $(4)$ から、
$$ \tag{5} $$ である。
  このように、 $h$ の絶対値は、原点から平面までの距離を表す。 一方で、$h$ そのものは内積で定義されていることから分かるように、 正の値になる場合と負の値になる場合、および $0$ になる場合の $3$ パターンがありうる。 以下では、それぞれのパターンについて考察する。


$h > 0$ の場合:
  $h$ が正である場合には、 $(5)$ から、
であり、 $h$ は原点と平面との距離に等しい。 $(4)$ より、 この場合には、 $\mathbf{x}_{0}$ は $\mathbf{n}$ 方向に位置する(下図)。 したがって、平面は原点から見て $\mathbf{n}$ 方向に置かれる。
符号付き距離の意味の図
$h \lt 0$ の場合:
  $h$ が負である場合には、$(5)$ から、
であり、 $h$ は原点と平面との距離にマイナスを掛けたものに等しい。 $(4)$ より、 この場合には、 $\mathbf{x}_{0}$ は $\mathbf{n}$ の反対方向に位置する(下図)。 したがって、平面は原点から見て $-\mathbf{n}$ 方向に置かれる。
符号付き距離の意味の図03

$h = 0$ の場合:
  $h$ が $0$ である場合、$(4)$ から、
であるので、 $\mathbf{x}_{0}$ は原点に位置する。 $(5)$ から、この場合には、 .
であるので、 原点と平面との距離は $0$ であり、平面は原点を通過する(下図)。
符号付き距離の意味の図04

  以上のように $h$ は、法線と射影点 $\mathbf{x}_{0}$ の位置が同じ向きである場合には、 原点と平面との距離 $H$ を表す正の値になる。 一方、反対向きに場合には、距離 $H$ にマイナスの符号を付けた負の値になる。 このような意味で、$h$ を 符号付き距離と呼ぶ。



3点を通る平面
  3点 $A, B, C$ を通る平面の方程式は、
3点を通る平面の公式
である。 ここで、 $\mathbf{a}$, $\mathbf{b}$, $\mathbf{c}$ は、3点 $A$, $B$, $C$ の位置ベクトルであり、 $\mathbf{x}$ は平面上の任意の点である (例題)。
証明
  3点 $A, B, C$ を通る平面の方程式
$$ \tag{1} $$ と置く。 ここで、$\mathbf{n}$ は法線ベクトルであり、 $h$ は符号付き距離である。
  点 $A, B, C$ の各位置ベクトルを $\mathbf{a}$, $\mathbf{b}$, $\mathbf{c}$ とすると、 これらが $(1)$ の平面上にあることは、
$$ \tag{2} $$ と表される。 これより、法線ベクトル $\mathbf{n}$ は、
$$ \tag{3} $$ を満たす。
3点を通る平面の図

  $(3)$ は、 $\mathbf{n}$ が $\mathbf{b}-\mathbf{a}$ と $ \mathbf{c}-\mathbf{a}$ の両方に直交するベクトルであることを表している(図)。 従って、 $\mathbf{n}$ は $\mathbf{b}-\mathbf{a}$ と $ \mathbf{c}-\mathbf{a}$ の外積の方向を向く (より厳密には「法線=外積」を参考)。 したがって、
$$ \tag{4} $$ と表される。 ここで、$C$ はベクトルの大きさを決める $0$ でない定数である。
  $(2)$ と $(4)$ から、 符号付き距離 $h$ は、
$$ \tag{5} $$ と表される。
  $(4)$ と $(5)$ によって、平面の方程式 $(1)$ は、 .
と表されることが分かる。

一点と直線を通る平面
  位置ベクトルが $\mathbf{x}_{0} $ である点 $X_{0}$ を通り、 方向ベクトルが $\mathbf{m}$ の直線
と、 位置ベクトルが $\mathbf{u}$ である点 $U$ を通る平面 $P$ の方程式は、
と表される。
証明
  位置ベクトルが $\mathbf{x}_{0} $ である点 $X_{0}$ を通り、 方向ベクトルが $\mathbf{m}$ の直線
$$ \tag{1} $$ と、 位置ベクトルが $\mathbf{u}$ である点 $U$ を通る平面 $P$ の方程式を求める。
一点と直線を通る平面の図
  直線 $(1)$ の $t$ は、 直線上の点の位置を定義するパラメータである。 そこで、 直線 $(1)$ 上にある $X_{0}$ 以外の点を $X_{1}$ とすると、 この点の位置ベクトルは、
と表される。 ここで、 $ t_{1} $ は点 $X_{1}$ の位置を定義するパラメータであり、 $X_{1}$ と $X_{0}$ が異なる位置の点であることから、
$$ \tag{2} $$ である。 また、 点 $X_{0}$ と 点 $X_{1}$ を結ぶベクトルは、
$$ \tag{3} $$ である。
  一方、 点 $U$ と点 $X_{0}$ を結ぶベクトルは、
$$ \tag{4} $$ である (下図)。
一点と直線を通る平面の図01

  平面 $P$ 上の任意の点を $\mathbf{x}$ と表し、 $\mathbf{x}$ の満たす方程式、 すなわち、 平面 $P$ の方程式
$$ \tag{5} $$ と表すことにする。 ここで、 $\mathbf{n}$ と $h$ はそれぞれ法線ベクトルと符号付き距離である。
  法線ベクトル $\mathbf{n}$ は平面上の二点を結ぶベクトルと直交するベクトルであるので、 $\mathbf{n}$ は $(3)$ と直交し、 $(4)$ とも直交する。 したがって、 $\mathbf{n}$ は $(3)$ と $(4)$ の外積の方向を向くベクトルである (より厳密には「法線=外積」を参考)。 このことから、 $\mathbf{n}$ を
と表せる。 これを用いると、 平面の方程式 $(5)$ は、
$$ \tag{6} $$ と表される。
  点 $U$ が平面 $P$ 上の点であることから、 位置ベクトル $\mathbf{u}$ は、
を満たす。 これを整理すると、 内積の性質スカラー三重積の循環性により、
と表せるので、 $(6)$ から、
を得る。 最後に $(2)$ から、
を得る。

例題: (三角形を含む平面)
  以下の三点
を頂点に持つ三角形を含む平面を求めよ。

解答例
  3点を通る平面の公式を用いる。 外積の定義に従って計算すると、
であるので、
である。 3点 $\mathbf{a}$、$\mathbf{b}$、$\mathbf{c}$ を通る平面上の任意の点を
と表すと、 公式より、この点は、
を満たす。 最後の式が 3点 $\mathbf{a}$、$\mathbf{b}$、$\mathbf{c}$ を通る平面の方程式である。

補足: 法線=外積
  二つの平行でないベクトル $\mathbf{a}$ と $\mathbf{b}$ の両方に直交するベクトル $\mathbf{n}$ は、外積 $\mathbf{a} \times \mathbf{b}$ に比例する。 すなわち、
法線ベクトルは外積
$$ \tag{5.0} $$ と表される。ここで $C$ は $0$ でない定数である。
法線ベクトルは外積の図
  二つのベクトル $\mathbf{a}$ と $\mathbf{b}$ は一つの平面に置くことができ、 平面の法線ベクトルとは、$\mathbf{a}$ と $\mathbf{b}$ の両方に直交するベクトルである。 したがって、 $(5.0)$ から次のような性質を得る。 すなわち、 平面の法線ベクトル $\mathbf{n}$ は、 平面上のベクトル $\mathbf{a}$ と $\mathbf{b}$ の外積によって $(5.0)$ のように表される。
証明
  議論を簡潔にするために、 $\mathbf{a}$ と $\mathbf{b}$ が規格化されているとする。 すなわち、
$$ \tag{5.1} $$ が成り立つとする。 ここで $ \| \cdot \| $ はノルムを表す記号であり、
である。
準備: 「内積 $\lt$ 1」
  シュワルツの不等式より、
が成り立つ。 等号が成立するのは、 $\mathbf{a}$ と $\mathbf{b}$ が平行な場合、 すなわち、
のときのみである。ここで $\alpha$ は比例定数である。 したがって、 $\mathbf{a}$ と $\mathbf{b}$ が平行でない場合には、
が成り立つ。これと $(5.1)$ より、
$$ \tag{5.2} $$ が成り立つ。
証明
  任意の3次元ベクトルは、 2つの線形独立なベクトルとそれらの間の外積の線形結合によって表すことができるので、 法線ベクトル $\mathbf{n}$ を
$$ \tag{5.3} $$ と表せる。 $\mathbf{a}$ と $\mathbf{b}$ は平面上のベクトル (平面と平行なベクトル) であるので、 法線ベクトル $\mathbf{n}$ と直交する。 すなわち、
が成り立つ。 ここで $(\cdot, \cdot)$ は内積を表す記号である。 これらより、
$$ \tag{5.4} $$ が成り立つ。 ここで $3$ つめの等号では スカラー三重積の性質内積の性質を用いた。 $4$ つめの等号では外積の性質を用いた。 最後の等号では $(5.1)$ を用いた。 同じように、
$$ \tag{5.5} $$ が成り立つ。 $(5.4)$ と $(5.5)$ は連立一次方程式であり、 $(5.5)$ に $(\mathbf{a},\mathbf{b})$ を掛けて $(5.4)$ から引くと、
を得るが、$(5.2)$ より、
であるので、 $A=0$ である。 同じように $B=0$ であることも示されるので、 $(5.3)$ より、
と表される。

垂直二等分面とその性質
  位置ベクトルがそれぞれ $\mathbf{r}_{A}$ と $\mathbf{r}_{B}$ の点 $A,B$ の垂直二等分面の方程式は、 \begin{eqnarray} \left( \mathbf{r}_{A} - \mathbf{r}_{B}, \hspace{0.5mm} \mathbf{r} \right) = \frac{1}{2} \left( \| \mathbf{r}_{A} \|^2 - \| \mathbf{r}_{B} \|^2 \right) \end{eqnarray} と表される。 ここで $\mathbf{r}$ は、 平面上の任意の点である。
点群にフィットする平面
  点群 $\{ \mathbf{u}_{1}, \mathbf{u}_{2}, \cdots, \mathbf{u}_{m} \}$ に最もフィットする平面は、 法線ベクトルが 行列 $$ M=\sum_{i=1}^{m} (\mathbf{u}_{i}- \overline{\mathbf{u}}) (\mathbf{u}_{i}- \overline{\mathbf{u}})^{T} $$ の最小固有値を持つ固有ベクトルの方向を向き、 符号付き距離が、その法線ベクトルと点群の重心 $\overline{\mathbf{u}}$ との内積 $$ h = (\mathbf{n}, \overline{\mathbf{u}}) $$ になる平面である。
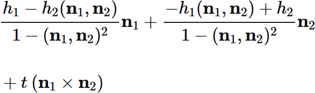
2平面の交線
  2つの平行でない平面 $P_{1}$ と $P_{2}$ の平面の方程式がそれぞれ
であるとき、$P_{1}$ と $P_{2}$ の交線は、
と表される。 ここで $t$ はパラメータである。
平面と直線の交点
  平面 $$ (\mathbf{n}, \mathbf{x}) = h $$ と直線 $$ \mathbf{x}_{0} + t \mathbf{m} $$ の交点は、 $$ \mathbf{x}_{0} + \frac{h - (\mathbf{n}, \hspace{0.5mm}\mathbf{x}_{0})}{(\mathbf{n}, \hspace{0.5mm}\mathbf{m})} \mathbf{m} $$ である。 ここで、$\mathbf{n}$ と $h$ は、それぞれ平面の法線ベクトルと符号付き距離であり、 $\mathbf{x}_{0}$ と $\mathbf{m}$ は、それぞれ直線上の一点と方向ベクトルである。 また、$t$ は直線のパラメータである。
点と平面の距離
  法線ベクトルが $\mathbf{n}$ の平面 $$ (\mathbf{n}, \mathbf{x}) = h $$ と、点 $\mathbf{x}$ との間の距離 $d$ は、 $$ d = \left| (\mathbf{n}, \mathbf{x}) - h \right| $$ である。
平面上への投影点
  3次元空間内の座標 $\mathbf{u}$ の平面

平面上への射影00

上への投影点(垂線の足)の位置 $\mathbf{u}_{P}$ は、

平面上への射影01

である。 ここで、 $\mathbf{n}$ は、平面の法線ベクトルであり、 規格化されている($\| \mathbf{n} \| = 1$)。 また、 $h$ は、符号付き距離である。