平面上への投影点 (垂線の足) の求め方 ~ 公式と具体例 ~

平面上への射影点の図
平面上への投影点 (公式)
  3次元空間内の点 $U$ の座標値を $\mathbf{u}$ とする。 また平面 $P$ の法線ベクトルを $\mathbf{n}$ とし、 符号付き距離を $h$ とする。 すなわち、平面 $P$ の方程式が
であるとする。ここで $(\cdot, \cdot)$ は標準内積(ドット積)を表す記号であり、 $\mathbf{n}$ は規格化されているものとする ($\| \mathbf{n} \| = 1$)) 。
  このとき、点 $U$ の平面 $P$ 上への投影点(垂線の足)の位置 $\mathbf{u}_{P}$ は、
である。
解説
  点 $U$ から平面 $P$ に下した垂線の足 $\mathbf{u}_{P}$ は、 $\mathbf{u}$ から見て法線方向に位置する (下図)。
平面上への射影点の図
したがって、 $ \mathbf{u}_{P} $ は $P$ の法線ベクトル $\mathbf{n}$ を使って、
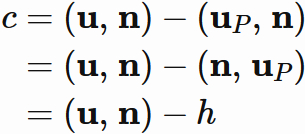
$$ \tag{1} $$ と表すことが出来る。 ここで、$c$ は $\mathbf{u}$ と $\mathbf{u}_{P}$ がどのくらい離れているかを表す定数である。 $c$ は $(1)$ から、
を満たす。 ここで、法線ベクトルが規格化されていること ($\| \mathbf{n} \| = 1$) を用いた。 これより、$c$ は
と求まる。
  ところで、 $\mathbf{u}_{P}$ は平面上の点の位置であるので、 $P$ の平面の方程式を満たす。 すなわち、
が成り立つ。 これより、
と表せる。 これを $(1)$ に代入すると、
と求まる。

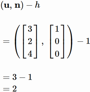
具体例:
  座標値が $(3,2,4)$ の点 $U$ の平面
上への投影点の位置を求めよ。
解答例
  図で表せばわかるように明らかに投影点の座標は $(1,2,4)$ であるが、 それを公式を用いて確かめてみる。
$U$ の座標値は、
である。 平面 $x=1$ の法線ベクトル $\mathbf{n}$ と符号付距離 $h$ はそれぞれ
である。 したがって、
であるので、 公式より、 投影点の位置 $\mathbf{u}_{P}$ は
と求まる。