2平面の交線の求め方

目次
- 二平面の交線の公式
- 例題
二平面の交線の公式
  2つの平行でない平面 $P_{1}$ と $P_{2}$ の平面の方程式がそれぞれ
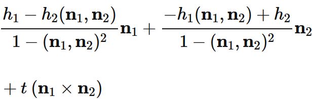
であるとき、$P_{1}$ と $P_{2}$ の交線は、
と表される。 ここで $t$ はパラメータであり、$(\cdot, \cdot)$ は内積である。
証明
  直線を数式で表現するための一つの方法は、
$$ \tag{0} $$ と表すことである。 ここで $s$ はパラメータである。
2平面の交線の図
そこで以下では、 二平面の交線の方向ベクトルと交線上の一点を求める。 その際、便宜上、平面 $P_{1}$ と $P_{2}$ の平面の方程式
に含まれる法線ベクトル $\mathbf{n}_{1}$ と $\mathbf{n}_{2}$ は規格化されている ($\|\mathbf{n}_{1}\|=|\mathbf{n}_{2}\|=1$) ものとする。
交線の方向ベクトルを求める
  交線上の任意の二点の位置をそれぞれ $\mathbf{a}$, $\mathbf{b}$ と表すとき、 これらはともに平面 $P_{1}$ 上の点であるので、
$$ \tag{1} $$ を満たす。 また、 これらはともに平面 $P_{2}$ 上の点でもあるので、
$$ \tag{2} $$ を満たす。
2平面の交線の図1
$(1)$ と $(2)$ により、
が成立する。 これらは、$\mathbf{a}-\mathbf{b}$ が $\mathbf{n}_{1}$ と $\mathbf{n}_{2}$ の両方に直交するベクトルであることを表している。 ゆえに、$\mathbf{a}-\mathbf{b}$ は、$\mathbf{n}_{1}$ と $\mathbf{n}_{2}$ の外積の方向を向くベクトルである (「法線=外積」を参考)。 すなわち、
$$ \tag{3} $$ と表されるベクトルである ($C$ は $0$ でない定数)。
  ところで、 $\mathbf{a}$ と $\mathbf{b}$ は交線上の二点の位置を表すベクトルであるので、 $\mathbf{a}-\mathbf{b}$ は交線の方向ベクトル $\mathbf{m}$ と同じ方向を向くベクトルである。 ゆえに $\mathbf{m}$ は、
と表されるベクトルである ($C'$ は $0$ でない定数)。 これと $(3)$ から、交線の方向ベクトルが
$$ \tag{4} $$ と表されることが分かる。 ここで$C'' = CC'$ であるが、 $C$ と $C'$ が 0 でない定数であったので、$C''$ もまた $0$ でない定数である。
  このように、二平面の交線の方向ベクトルは各平面の法線ベクトルの外積 $\mathbf{n}_{1} \times \mathbf{n}_{2}$ に比例するベクトルである。
交線上の一点を求める
  $P_{1}$ と $P_{2}$ は平行な平面ではないので、それぞれの法線ベクトル $\mathbf{n}_{1}$, $\mathbf{n}_{2}$ は、方向が異なる。 方向が異なるベクトルの外積は $0$ ではないこと (外積のノルムを参考)から、
が成立する。 これより、
$$ \tag{5} $$ である。
  左辺は $\mathbf{n}_{1} \times \mathbf{n}_{2}$ 同士の内積であるが、 $\mathbf{n}_{1}$ と $\mathbf{n}_{2}$ と $\mathbf{n}_{1} \times \mathbf{n}_{2}$ の間のスカラー三重積とも見なされうる。 ところで、一般に スカラー三重積は、それらを成す三つのベクトルを列ベクトルとする行列の行列式に等しいことが知られている。 この関係を使うと、
を得る。これと $(5)$ から
が成り立つ。 ところで、 行列式が $0$ でないならば、 その行列の列ベクトルは互いに線形独立であるので、
$$ \tag{6} $$ である。 このことは、任意の位置ベクトルがこれらの線形結合で表せることを意味する。
2平面の交線の図02

  さて、以上の結果を使って、原点から交線上に下した垂線の足 $X$ の位置ベクトル $\mathbf{x}$ を求めよう。 $X$ が垂線の足であることから、交線の方向ベクトル $\mathbf{m}$ と $\mathbf{x}$ は直交するので、
である。 これと $(4)$ から、
$$ \tag{7} $$ が成立する。
  ところで、 $(6)$ により、どんな位置ベクトルも $\mathbf{n}_{1}$ と $\mathbf{n}_{2}$ の $\mathbf{n}_{1} \times \mathbf{n}_{2}$ の線形結合によって表すことが出来るので、 $\mathbf{x}$
$$ \tag{8} $$ と表せる。 両辺に対して $\mathbf{n}_{1} \times \mathbf{n}_{2}$ との外積をとると、
となるが、 第2項と第3項はスカラー三重積の循環性外積の性質により、
であるので、
と表される。 これと $(5)$ と $(7)$ から $ \gamma = 0 $ であることが分かるので、 $(8)$ の $\mathbf{x}$ は、
$$ \tag{9} $$ と表される。
  $\mathbf{x}$ は $P_{1}$ 上の点であるので、
を満たす。 $(9)$ を代入すると、
$$ \tag{10} $$ である。 一方、$\mathbf{x}$ は $P_{2}$ 上の点でもあるので、
を満たす。 $(9)$ を代入すると、
$$ \tag{11} $$ である。 $(10)$ と $(11)$ は $\alpha$ と $\beta$ に関する連立一次方程式である。 これを解くと、
と求まる。 これを $(9)$ に代入すると、
$$ \tag{12} $$ を得る。
  このように二平面の交線上の一点 (原点から交線上に延ばした垂線の足) が求められた。
二平面の交線
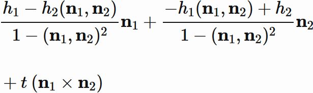
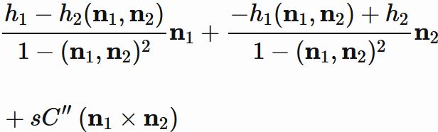
  以上のように、交線の方向ベクトル $(4)$ と 交線上の一点 $(12)$ が求まったので、 $(0)$ に代入すると、交線上の点は、
と表される。 ここで $s$ はパラメータである。 $ C'' $ は 0 でない定数であったので、 新しいパラメータ $t$ を $t = s C''$ と定義することによって、上式は、
と表される。

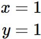
例題:   $x=1$ と $y=1$ の交線
  公式を用いて、 平面
の交線を求めよ。

解答例
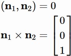
  平面 $x=1$ の法線ベクトル $\mathbf{n}_{1}$ と符号付き距離 $h_{1}$ はそれぞれ
である (平面の方程式を参考)。 平面 $y=1$ の法線ベクトル $\mathbf{n}_{2}$ と符号付き距離 $h_{2}$ はそれぞれ
である。 内積の定義外積の定義から、
であるので、 二平面の交線の公式に代入すると、
と求まる。