点群にフィットする平面を最小二乗法で求める方法

点群の最小二乗法
  法線ベクトルを $\mathbf{n}$、 符号付き距離を $h$ とする平面の方程式は、
である。 ここで $(\cdot, \cdot)$ は 標準内積を表す記号である。 また、 法線ベクトルの大きさは
$$ \tag{1} $$ と規格化されているものとする。 ここで $\| \cdot \| $ はノルムを表す記号である。
点群の最小二乗平面の図
  点群の位置ベクトルを
と表すと、 位置ベクトルが $\mathbf{u}_{i}$ の点と平面 $(1)$ との間の距離の二乗 $d_{i}$ は、
$$ \tag{2} $$ である(点と平面の距離を参考)。
  したがって、全ての点からの二乗距離の総和 $s$ は、
$$ \tag{3} $$ である。 $ s $ を最小にする $\mathbf{n}$ と $h$ を求めることが点群に最もフィットする平面を求めることになる。
最適な符号付き距離
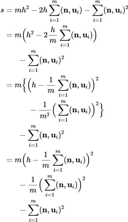
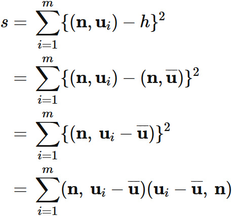
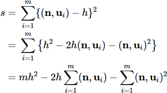
  $s$ が最小にする符号付き距離 $h$ を求める。 $(2)$ は、
と表せることから分かるように、 $h$ に関する二次方程式である。 そこで、$s_{i}$ を $h$ について平方完成すると、
となるので、 二次方程式の性質から、 $s$ を最小にする $h$ は、
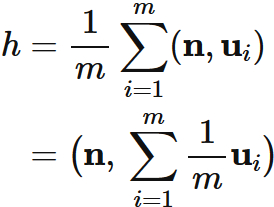
である。 点群の重心(平均位置) $\overline{\mathbf{u}} $ を
と表すと、
$$ \tag{4} $$ である。
  したがって、 点群にフィットする平面の符号付き距離 $h$ は、 平面の法線 $\mathbf{n}$ と点群の重心 $\overline{\mathbf{u}}$ の内積に等しい。
最適な法線ベクトル
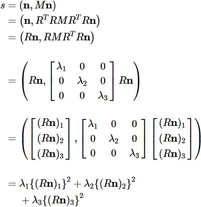
  続いて点群に最もフィットする平面の法線ベクトルを求める。 $(4)$ を $(3)$ に代入すると、 $s$ は、
と表せる。 ここで、任意の実ベクトル $\mathbf{a}, \mathbf{b} $ に対して、
が成立することを用いると ($T$ は転置を表す記号)、
となる。 また、行列 $M$ を
$$ \tag{5} $$ と定義すると、
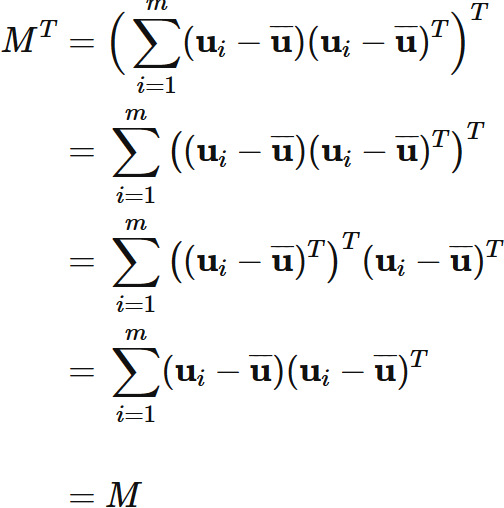
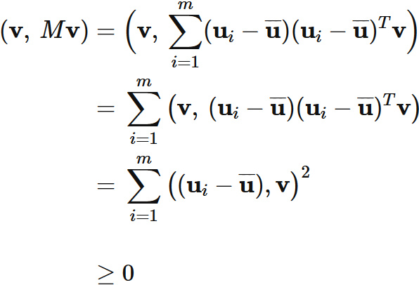
$$ \tag{6} $$ と表せる。 $M$ は 3行3列の行列であり、 転置行列の諸性質を用いると、
が成り立つので、$M$ は実対称行列である。 したがって、$M$ は 対角化可能である。 また、 任意のベクトル $\mathbf{v}$ に対して、
が成り立つので、 半正定値行列である。 したがって、$M$ の固有値は 0 以上である。 そこで、 $M$ の 固有値と固有ベクトルを
$$ \tag{7} $$ と表す。 固有値の異なる固有ベクトルは互いに直交するので、 規格化された固有ベクトルには
$$ \tag{8} $$ が成り立つ。 ここで $\delta_{ij}$ はクロネッカーのデルタである。
  この $\mathbf{m}_{i}$ を用いて、 行列 $R$ を
と定義する。 この $R$ は $(8)$ から
$$ \tag{9} $$ を満たすので、 $M$ を対角化する行列である。 また、$(8)$ から $R$ には
が成り立つので、 $R$ は直交行列である。 すなわち、
$$ \tag{10} $$ が成立する (証明は直交行列は片側のみで定義可能を参考)。
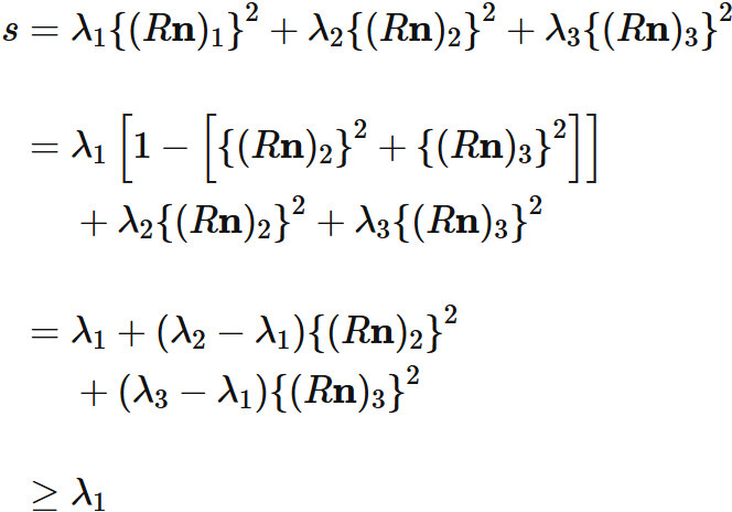
  $(9)$ と $(10)$ と内積と転置行列の関係を用いると、 $(6)$ の $s$ は、
と表せる。 ここで、 $ \left\{ (R \mathbf{n})_{i}\right\}^{2}$ $(i=1,2,3)$ はベクトル $R \mathbf{n}$ の第 $i$ 成分 $(R \mathbf{n})_{i}$ の二乗である。 $\left\{(R \mathbf{n})_{1}\right\}^{2}$ は $(1)$ $(10)$ と 内積と転置行列の関係から
と表せる。 これと $(7)$ より $s$ には、
$$ \tag{11} $$ が成り立つ。 すなわち、$s$ は必ず $\lambda_{1} $ 以上の値になる。
  $(11)$ だけでは、 $s=\lambda_{1}$ となる場合が存在するかどうかは確かではないが、
$$ \tag{12} $$ とすると、 $(6)(7)(8)$ から、
となるので、 $s$ は $ \mathbf{n} = \mathbf{m}_{1} $ のときに、最小値 $\lambda_{1}$ に到達する。
まとめ
  以上の結果から、 点群にフィットする最適平面は、 法線ベクトル $\mathbf{n}$ が $(5)$ によって定義される行列の最小固有値を持つ固有ベクトル $\mathbf{m}_{1}$ であり、 符号付き距離 $h$ が、 法線ベクトルと点群の重心の内積 $(4)$ になる平面である。