垂直二等分平面の求め方

垂直二等分平面
  二点から等距離にある面を垂直二等分平面という。 位置ベクトルがそれぞれ $\mathbf{r}_{A}$ と $\mathbf{r}_{B}$ の点 $A,B$ の垂直二等分面の方程式は、
垂直二等分平面の求め方
と表される。 ここで $\mathbf{r}$ は、 平面上の任意の点である。
証明
  二点 $A,B$ の垂直二等分面 $P$ とは、 $A$ と $B$ の中点 $M$ を通り、 $AB$ を結ぶベクトルと直交する平面である。 よって、 $P$ の法線ベクトル $\mathbf{n}$ は $A$ と $B$ を結ぶベクトル $\vec{AB}$ と同じ向きを向く。 すなわち、 $\mathbf{n}$ は
と表されるベクトルである。
  二点 $A,B$ の位置ベクトルをそれぞれ $\mathbf{r}_{A}$ と $\mathbf{r}_{B}$ と表すと、 $AB$ を結ぶベクトル $\vec{AB}$ は、
であるので、 $\mathbf{n}$ は
と表される。
垂直二等分平面の求め方の図
  $P$ は平面であるので、 $P$ の方程式
と置くことが出来る。 ここで、 $h$ は符号付き距離であり、 $\mathbf{r}$ は $P$ 上の任意の点である。 この方程式は、 上で表した法線ベクトル $\mathbf{n}$ を用いると、
と表される。
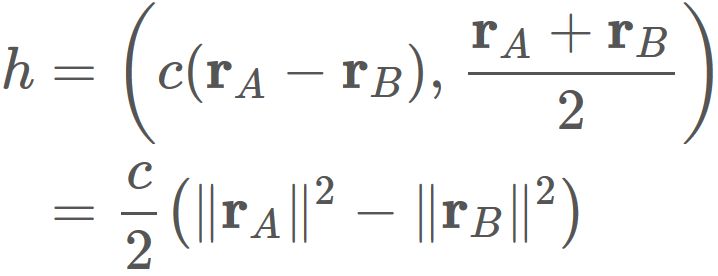
  一方、 $P$ は垂直二等分面であるため、 $A$ と $B$ の中点 $M$ を通る。 よって、 中点の位置ベクトル $\mathbf{r}_{M}$ は、
を満たす。 $\mathbf{r}_{M}$ は、 $A$ と $B$ の位置ベクトル $\mathbf{r}_{A}$ と $\mathbf{r}_{B}$ によって、
と表せるので、 これらから符号付き距離 $h$ が
と表されることが示される。
  以上のように、 垂直二等分面 $P$ の法線ベクトル $\mathbf{n}$ と符号付き距離 $h$ が求められたので、 平面の方程式は、
と表される。 このように平面の方程式は、 定数 c に依存しない。


二点からの等距離平面であること
  $P$ の方程式、
を整理すると、
と表されるが、 両辺に $ \| \mathbf{r} \|^2 $ を加えて、 されに整理することにより、
が成立する。
  この式は、 $P$ の任意の点と点 $A$ との間の距離が、 同じ点と 点 $B$ との間の距離に等しいことを表している (図)。
垂直二等分平面の求め方の図2
この性質を垂直二等分面の定義としてもよい。 すなわち、 垂直二等分面とは、 二点から等距離にある平面である。