シュワルツの不等式の証明と幾つかの例

シュワルツの不等式の証明   (実ベクトルの場合)
  内積の定義された実ベクトル空間の任意のベクトル $\mathbf{x}$ と $\mathbf{y}$ に対して、
シュワルツの不等式 実ベクトル空間
が成り立つ。 これをシュワルツの不等式 (Schwarz inequality) という。
  この不等式は、 内積の性質 (定義)
から導かれる。
証明
  $\mathbf{x} = 0$ または $\mathbf{y}=0$ の場合には、 シュワルツの不等式が成り立つのは明らかなので、 以下では、 $\mathbf{x} \neq 0$ かつ $\mathbf{y} \neq 0$ とする。
  実ベクトル空間を任意のベクトル $\mathbf{x}$ と $\mathbf{y}$ に対して、 実数 $s$ の関数
を定義すると、 性質 $(3)$ より、
である。
  一方 $F(s)$ は $(1)$ $(2)$ $(3)$ により、
と表せるので、
が成立する。
  上の不等式の左辺は $s$ の $2$ 次式であるので、 不等式が成立するための必要十分条件は、 左辺の $2$ 次式に対する判別式
が $ D \leq 0 $ を満たすことである。 すなわち、
を満たすことである。 これより
が成り立つが、 $(3)$ より
であるので、
が成り立つ。 ここでノルム
と表した。

等号成立条件
  シュワルツの不等式の等号が成立するための必要十分条件は、 $\mathbf{y}$ が $\mathbf{x}$ の実数倍であることである。すなわち、
である。

証明
  はじめに
を示す。
 
を仮定すると、 ノルムの定義
により、
$$ \tag{A} $$ である。 ここで、
と定義すると、 $D=0$ であるので、$D$ を判別式とする二次方程式
が重解を持つ。$D=0$ に注意して、 この方程式を書き換えると、
と表せるので、その重解は、
である。 ここで、
$$ \tag{B} $$ と $s$ を定義し、 内積の性質 と $(\mathrm{B})$ を用いると、
であり、 $(\mathrm{A})$ を用いると、
である。 したがって、 内積の性質 $(3)$ により、
である。 すなわち、 $\mathbf{y}$ は $\mathbf{x}$ の実数倍である。
  続いて
を示す。
であるとすると、 内積の性質 から
であり、
であるので、
が成り立つ。これより、
である。

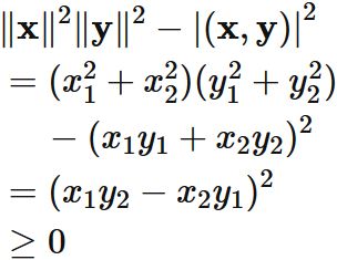
具体例
  二次元実ベクトル空間のベクトル
はシュワルツの不等式
を満たす。

  内積とノルム標準内積により、
と定義すると、
であるので、
が成り立つ。

シュワルツの不等式の証明   (複素ベクトルの場合)
  内積の定義された複素ベクトル空間の任意のベクトル $\mathbf{u}$ と $\mathbf{v}$ に対して、
シュワルツの不等式 複素ベクトル空間
が成り立つ。 これをシュワルツの不等式 (Schwarz inequality) という。   この不等式は、 内積の性質 (定義)
から導かれる。
  なお $(4)$ は $(1)(2)$ から導出できる。

証明
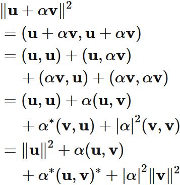
  $\mathbf{u}$ と $\mathbf{v}$ を複素ベクトル空間の任意のベクトルとし、 $\alpha$ を任意の複素数とするとき、 内積の性質により、
である。
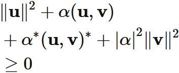
  一方で、性質 $(3)$ により、$\|\mathbf{u} + \alpha \mathbf{v}\|^2 \geq 0$ であるので、
が成り立つ。 ここで、内積が複素数であることから、
$$ \tag{A} $$ と置くと、
と表される。
  この式が任意の複素数 $\alpha$ に対して成立するので、 $\alpha = \rho e^{-i\theta}$ ($\rho$ は任意の実数)の場合にも成立する。 よって、
が成立する。
  左辺が実数 $\rho$ の $2$ 次式であるので、不等式が成立するための必要十分条件は、 左辺の $2$ 次式の判別式
が $0$ 以下になることである。すなわち、
が成り立つことである。
  $( \mathrm{A})$ より、$r = |(\mathbf{u}, \mathbf{v} )|$ であるので、 この不等式は、
と表される。これより、
である。

等号成立条件
  シュワルツの不等式の等号が成立するための必要十分条件は、 $\mathbf{v}$ が $\mathbf{u}$ の複素数倍であることである。すなわち、
である。

証明
  $\mathbf{u} = 0$ または $\mathbf{v} = 0$ の場合は明らかなので、 $\mathbf{u} \neq 0$ かつ $\mathbf{v} \neq 0$ の場合を考える。
  はじめに
を証明する。
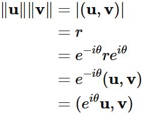
を仮定し、
と置くと、 内積の性質により、
が成り立つが、 $\| \mathbf{u}\| \| \mathbf{v} \| $ は実数であるので、
とも表せる。
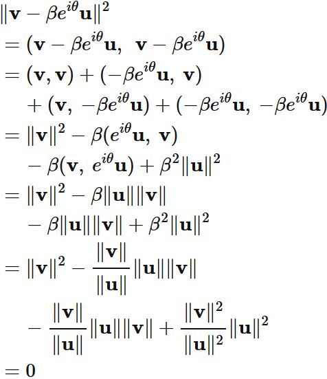
  これらを踏まえて、
と置き、 $\| \mathbf{v} - \beta e^{i\theta} \mathbf{u} \| ^2$ を計算すると、 $\beta$ が実数であるために、 内積の性質から
である。
  これより、 内積の性質 $(3)$ から
である。 $\beta e^{i\theta}$ は複素数であるので、 この式は $\mathbf{v}$ が $\mathbf{u}$ の複素数倍の関係であることを表している。 $\beta e^{i\theta} = \xi$ と置くと、
である。
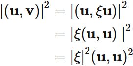
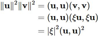
  続いて、
を証明する。 複素数 $\xi$ に対して、
が成立すると仮定すると、 内積の性質 から
であり、 一方で、
であるので、
が成立する。 よって、
である。

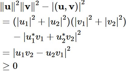
具体例
  二次元複素ベクトル空間のベクトル
はシュワルツの不等式
を満たす。
証明
  内積とノルム標準内積により、
と定義すると、
であるので、
が成り立つ。