平面と直線の交点の求め方

平面と直線の交点 ~公式と証明~
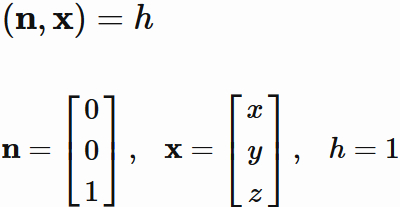
  法線ベクトルが $\mathbf{n}$ で符号付き距離が $h$ の平面は
と表される。ここで $(\cdot, \cdot)$ は標準内積を表す記号である。
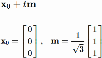
  一方、位置 $\mathbf{x}_{0}$ が通り、 $ \mathbf{m}$ を方向ベクトルとする直線は
と表される。 ここで $t$ は直線のパラメータである。
平面と直線の交点
このとき、平面と直線の交点は
である。
証明
  平面と直線の交点の位置を $\mathbf{x}$ とすると、 この点は、直線上にあり、なおかつ、平面上にある点である。 したがって、$\mathbf{x}$ は、
$$ \tag{1} $$ の両方の方程式を満たす。 これらより、
が成り立つので、
$$ \tag{2} $$ と $t$ が求まる。 これと $(1)$ から交点の位置は、
である。


補足:
  $(2)$ を求めるときに、$(\mathbf{n}, \mathbf{m})\neq 0$ を仮定したが、 そうでない場合、すなわち、 $$ (\mathbf{n}, \mathbf{m})= 0 $$ の場合には、平面と直線は交差しない。 これは、平面の法線ベクトルと直線の向きが直交するならば、すなわち、平面と直線が平行であるならば、 平面と直線が交差しないことを表している。

具体例
$(1)$   点 (1,0,0) を通り、方向ベクトルが (0,0,1) の直線と 平面 $z=1$ との交点を求めよ。
$(2)$   原点を通り、方向ベクトルが $\frac{1}{\sqrt{3}}(1,1,1)$ の直線と 平面 $z=1$ との交点を求めよ。
解答例
(1)
  点 (1,0,0) を通り、方向ベクトルが (0,0,1) の直線上の点は、
と表される。ここで $t$ はパラメータである。 平面 $z=1$ は
と表される。 ここで $(\cdot, \cdot)$ は標準内積を表す記号である。 これらと公式を用いると、
と交点の位置が求まる。


(2)
  原点 $(0,0,0)$ を通り、方向ベクトルが $\frac{1}{\sqrt{3}}(1,1,1)$ の直線上の点は、
と表される。ここで $t$ はパラメータである。 平面 $z=1$ は
と表される。 ここで $(\cdot, \cdot)$ は標準内積を表す記号である。 これらと公式を用いると、
と交点の位置が求まる。