陰関数  

陰関数の定義
  2変数関数 $f(x,y)$ が
陰関数
$$ \tag{1.1} $$ を満たすとする。 例えば、
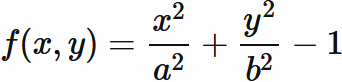
$$ \tag{1.2} $$ が典型的な例である。 この式から
$$ \tag{1.3} $$ である場合、
が成り立つ。 このように $(1.2)$ の関係が成り立つと、 $(1.3)$ の範囲で $y$ が $x$ の関数として表される。
  これと同じように、 $(1.1)$ の関係が成り立つときに、 ある範囲で $y$ が $x$ の関数として表されるとする。 すなわち、
$$ \tag{1.4} $$ と表せるとする。 このとき、 $(1.1)$ から、その範囲で
$$ \tag{1.5} $$ が成り立つ。 このように $(1.5)$ を満たす関数 $(1.4)$ を $(1.1)$ の陰関数という。 陰関数は開区間で定義される。 または、 $(1.1)$ そのものを陰関数と呼ぶこともある。
陰関数の存在
  2変数関数 $f(x,y)$ が $C^{1}$ 級関数 であり、ある点 $(a,b)$ において、
陰関数の存在
を満たすとする。 このとき、 $a$ を含む開区間 ($a$ の近傍) を定義域とする陰関数
が存在し、
を満たす。
証明
  はじめに
$$ \tag{2.1} $$ とする。その上で
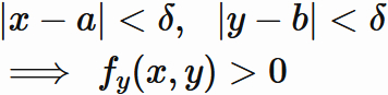
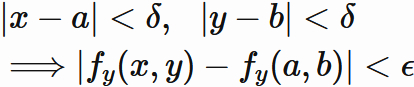
の場合を考える ($f_{y}(a,b) \lt 0$ の場合は、以下の議論と同様に考察すれば証明できるので省略する)。 正の値 $ \epsilon $ が十分に小さく、
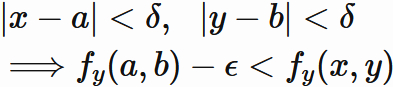
$$ \tag{2.2} $$ を満たすとする。 $f$ は $C^{1}$ 級関数 であるので、 $f_{y}$ は連続である。 従って、$\epsilon - \delta$ 論法によって
を満たす正の $\delta$ が存在する。 これより、
であるので、 これと $(2.2)$ から
を満たす正の $\delta$ が存在することになる。 したがって、
$$ \tag{2.3} $$ であるならば、
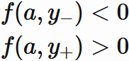
$$ \tag{2.4} $$ の範囲で、 $f(x,y)$ は $y$ の単調増加関数である ( 「微分が正 ⇒ 単調増加」 を参考)。 したがって、 $f(a,y)$ は $y$ の単調増加関数である (なぜなら $x=a$ の場合、$(2.3)$が満たされる) 。 これより、
を満たす $y_{-}$ と $y_{+}$ に対して、
が成り立つ。これと $(2.1)$ から
$$ \tag{2.5} $$ を得る。 第一式より
$$ \tag{2.6} $$ を満たす正の値 $ \epsilon_{-} $ が存在する。 $f$ は $C^{1}$ 級関数 であるので、 連続である。 従って、$\epsilon - \delta$ 論法によって
を満たす正の $\delta_{-}$ が存在する。 これより、
であるので、 これと $(2.6)$ から
$$ \tag{2.7} $$ を満たす正の $\delta_{-}$ が存在することになる。 また、 同じような議論によって、 $(2.5)$ の第二式から、
$$ \tag{2.8} $$ を満たす正の $\delta_{+}$ が存在することが分かる。 ここで、$\delta'$ を
$$ \tag{2.9} $$ を満たす任意の正の数とすると、 $(2.7)$ と $(2.8)$ から、
が成り立つ。 したがって、
$$ \tag{2.10} $$ を満たす $x$ の中から任意の一つを選び、$x=x'$ とすると、
が成り立つ。 すると 中間値の定理により、
$$ \tag{2.11} $$ を満たす $y'$ が存在することが分かる。 また、$(2.9)$ から
が成り立つので、 $f$ は $y$ についての単調増加関数である ($(2.4)$ 付近を参考)。 これより、 $(2.11)$ を満たす $y'$ はただ一つである (「単調増加⇒逆関数の存在」の証明を参考)。
  以上から、 $(2.10)$ を満たす $x$ の中から任意の一つの値 $x'$ を選択すると、 $(2.11)$ を満たす唯一つの値 $y'$ が定まることが分かった。 これは $y'$ が $x'$ の関数であり、 $(2.11)$ を満たすことを表している。 そこで、 その関数を
と表すと、 $(2.11)$ から、
が成り立つ。 この関係が $(2.10)$ を満たす全ての $x$ について成り立つので、 定義域を $(2.10)$ とする関数
が存在し、
が成り立つことが分かる。 したがって $y=g(x)$ は $ f(x, y) = 0 $ の陰関数である。
  $x=a$ の場合
と表すと、$y_{a}$ は
$$ \tag{2.12} $$ を満たす。一方 $(2.1)$ より、
である。上記の議論から、 $(2.12)$ を満たす $y_{a}$ は唯一つであるので、
である。 これより、
である。

陰関数の微分
  2変数の $C^{1}$ 級関数
$$ \tag{3.1} $$ が $ f_{y}(x,y) \neq 0 $ を満たすとき、 陰関数
の微分は、
である。
証明
  2変数の $C^{1}$ 級関数 $f(x,y)$ が 点 $(x_{0},y_{0})$ において、
を満たす場合、 $x_{0}$ を含む開区間 ($D$ とする) を定義域とする陰関数
が存在する (「陰関数の存在」を参考)。 また、 任意の $x \in D$ と、 $x+h \in D$ を満たす十分に小さな $h$ に対して、
が成り立つ (「陰関数の定義」を参考)。 ここで、
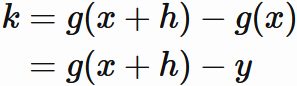
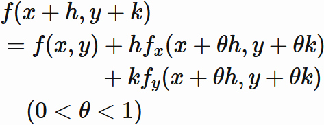
$$ \tag{3.2} $$ と置くと、
$$ \tag{3.3} $$ と表される。 $f$ は $C^{1}$ 級関数であるので、 二変数の平均値の定理が適用可能である。 したがって、
を満たす $\theta$ が存在する。 これと $(3.3)$ より、
が成り立つ。 一方、 $(3.2)$ より、
であるので、
が成り立つ。 また $(3.2)$ より、
である。これらから、
$$ \tag{3.4} $$ を得る。 $f$ は $C^{1}$ 級関数であるので、 $f_{x}(x , y )$ と $ f_{y}(x , y )$ が存在する。 したがって、 $(x_{0}, y_{0})$ における 陰関数 $g(x)$ は微分可能であり、 $(3.4)$ で表される (本証明では点 $(x_{0}, y_{0})$ に注目したが、その他の点についても同様に考えればよい)

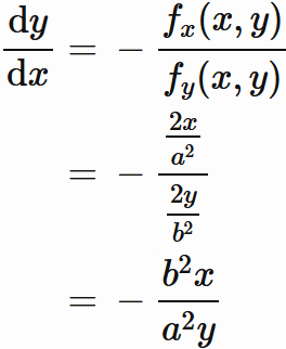
具体例 (陰関数の微分)
  楕円
に対して、 陰関数の微分を用いて $ \frac{\mathrm{d}y}{\mathrm{d}x} $ を求めよ。
解答例  
とすると、
であるので、 陰関数の微分により、
である。 ここで $y\neq 0$ とした。

補足 ($x$ と $y$ を入れ替えた陰関数)
  これまでの議論の $x$ と $y$ を入れ替えた議論も成り立つ。
  2変数関数 $f(x,y)$ が $C^{1}$ 級関数 であり、ある点 $(a,b)$ において、
を満たすとする。 このとき、 $b$ を含む開区間 ($b$ の近傍) を定義域とする陰関数
が存在し、
を満たす。 また、 陰関数の微分は、
である。
  証明は「陰関数の存在」「陰関数の微分」と同様。