ラグランジュ未定乗数法の解説

本ページでは、理工学全般でよく現れる ラグランジュ未定乗数法の証明と直観的な解説が記されています。 また、 使い方が分かるように例題が添えられています。
ラグランジュ未定乗数法 (定義と証明)
  条件
$$ \tag{1.1} $$ のもとで、 関数 $f(x,y)$ が 点 $(a, b)$ に極値を持つとする。 このとき、 $x,y,\lambda$ を変数に持つ関数 $F$ を
ラグランジュ未定乗数法
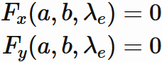
と定義すると、
であるならば、
$$ \tag{1.2} $$ を満たす $\lambda_{e}$ が存在する。
  連立方程式 $(1.2)$ を解き 極値 $(a,b)$ を求める方法を、 ラグランジュの未定乗数法 (Lagrange multiplier) という。
証明
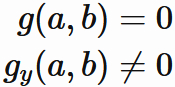
  $g_{y}(a,b)\neq 0$ の場合のみ証明を行う ($g_{x}(a,b)\neq 0$ の場合は同様に証明されるの省略する)。
であるので、 $a$ を含む開区間 ($D$ とする) に陰関数
$$ \tag{1.3} $$ が存在し、
$$ \tag{1.4} $$ が成り立つ。 また区間 $D$ で、 $f$ は
$$ \tag{1.5} $$ と $x$ の関数で表される。
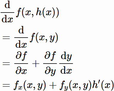
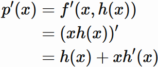
  $f(x,y)$ は $(a,b)$ で極値をとる。 ということは、 $f(x,y)$ は $(a,h(a))$ で極値を取る ($(1.4)$ 参考)。 ということは、 $f(x,h(x))$ は $(a,h(a))$ のときに極値をとる ($(1.5)$ 参考)。 ということは、 $f(x,h(x))$ は $x=a$ のときに極値をとる。 したがって、
$$ \tag{1.6} $$ が成り立つ。 左辺の微分は、 合成関数の微分の公式と $(1.3)$ により、
と表されるが、 陰関数の微分の公式により、 $h'(x)$ は
であるので、
である。これと $(1.4)$ から
であるので、 $(1.6)$ は
と表される。 これより、
$$ \tag{1.7} $$ が成り立つ。 ところで、
$$ \tag{1.8} $$ が成り立つので、
と置くと、 $(1.7)$ と $(1.8)$ は
$$ \tag{1.9} $$ と表される。 すなわち、 この二式を成り立たせる $\lambda_{e}$ が存在する。
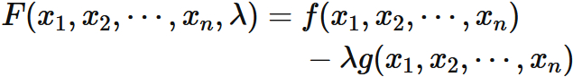
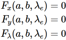
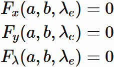
  ここで、 $x,y,\lambda$ を変数に持つ関数 $F$ を
と定義すると、 $(1.9)$ は
と表される。また、条件 $(1.1)$ は
と表される。
  以上から、 条件 $(1.1)$ のもとで関数 $f(x,y)$ が 点 $(a, b)$ に極値を持ち、
であるならば、
を満たす $\lambda_{e}$ が存在することが示された。

直感的な理解
  ラグランジュ未定乗数法では、 条件 $(1.1)$
のもとで、関数 $f(x,y)$ が点 $(a,b)$ で極値をもつという仮定が置かれる。 この仮定を直感的に考察すると、 厳密な証明をしなくても、 $(1.9)$ 式
が成り立つことが直感的に理解できることを示す。
解説
  $f(x,y)$ が位置 $(x,y)$ における山の標高を表すとする。 標高が等しい線を等高線というが、 下図では等高線が楕円状の実線で表されているとし、 内側の楕円ほど標高が高いとする。
$g(x,y)=0$ が地図上での登山道を表すとする (上図の緑色の点線)。 ある登山客がこの登山道を地点 $A$ から $B,C,D,E$ の順で進んだとしよう。 $A$, $B$ では低い方から高い方に向かって等高線を横切るの上り坂になる。 $C$ では等高線と接するので、一旦平地になる (極値をとる) 。 $D,E$ では高い方から低い方へに向かって等高線を横切るので下り坂になる (下図)。
このように、登山道は地図上で等高線と接するときに極値をとる。 地点 $C$ における標高を $h_{C}$ とすると、 極値をとるのは $g(x,y)=0$ と $f(x,y) = h_{C}$ が接するときである。 二つの曲線が接するときには、 両者の法線 (接線と直交する線) が平行になる (下図)。
点 $C$ の座標を $(a,b)$ とすると、 点 $C$ における 等高線 $f(x,y) = h_{C}$ の法線の向きは、
と同じ向きである。一方、 登山道 $g(x,y) = 0$ の法線の向きは
と同じ向きである。 したがって、 両者の法線 が平行になるという条件は、
と表される。 ここで $\lambda_{e}$ は定数である。 これはラグランジュ未定乗数法によって得られる $(1.9)$ そのものである。
 

例題1
  ラグランジュ未定乗数法を用いて、 条件
$$ \tag{3.1} $$ のもとで
$$ \tag{3.2} $$ の極値を調べよ。
解説
とすると、
であるので、これを解くと、
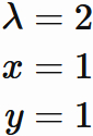
である。 したがって、 $(3.1)$ の条件のもとで、 $(3.2)$ が極値を持つとすれば、
$$ \tag{3.3} $$ しかない。 そこで、 $(3.3)$ が実際に極値となっているかどうかを調べよう。
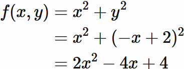
  $(3.1)$ より、
である ($(3.1)$ の陰関数)。 $(3.2)$ に代入すると、
である。 右辺を $h(x)$ とすると、
であるため、 $x=1$ のときに
となる。 $h''(x)=4 \gt 0$ であるので、 増減表を作ると、
である。以上から、 $h(x)$ は $x=1$ で最大になり、 最大値は $2$ である。
  言い換えると、 $f(x,y)$ は $(x,y) = (1,1)$ のときに最大になり、 最大値は $2$ である。

例題2
  ラグランジュ未定乗数法を用いて、 条件
$$ \tag{3.1} $$ のもとで
$$ \tag{3.2} $$ の極値を調べよ。
解説
とすると、
$$ \tag{3.3} $$ である。第一式と第二式から
である。 これより、
である。$x=0$ の場合、第一式から $y=0$ となり、第三式が成り立たたなくなる。 したがって
である。これを $(3.3)$ に代入すると、
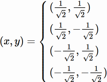
である。 したがって、 $f(x,y)$ が $(3.1)$ の条件のもとで 極値を持つとすれば、 これらのいずれかであることが分かった。
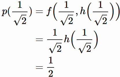
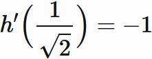
  この中から $ (x,y) = (\frac{1}{\sqrt{2}}, \frac{1}{\sqrt{2}}) $ の場合を調べる。 ここでの $(3.1)$ の陰関数
$$ \tag{3.4} $$ とする。 $x=\frac{1}{\sqrt{2}}$ を代入すると、 \begin{eqnarray} h\Big(\frac{1}{\sqrt{2}}\Big)=\frac{1}{\sqrt{2}} \end{eqnarray} $$ \tag{3.5} $$ である (「陰関数の存在」を参考)。 $(3.4)$ を $(3.1)$ に代入すると、
である。両辺を微分すると、
$$ \tag{3.6} $$ であり、 $x=\frac{1}{2}$ を代入すると、 $(3.5)$ から
$$ \tag{3.7} $$ を得る。 また $(3.6)$ を微分すると、
であり、 $x=\frac{1}{\sqrt{2}}$ を代入すると、 $(3.5)$ と $(3.7)$ より、
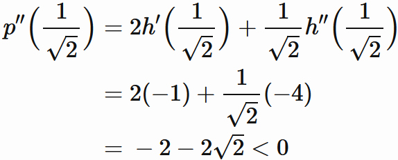
$$ \tag{3.8} $$ を得る。 ここで $(3.4)$ を用いて、
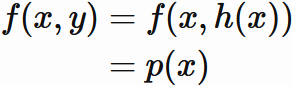
$$ \tag{3.9} $$ と $x$ の関数として表すと、
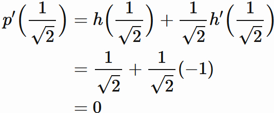
であるので、 $(3.5)$ と $(3.7)$ より、
である。また、
であるので、 $(3.7)$ と $(3.8)$ より、
である。 以上から $p(x)$ は $x= \frac{1}{\sqrt{2}}$ のときに極大になることが分かった。 よって、 $f(x,y)$ は $x= \frac{1}{\sqrt{2}}$ のときに極大になる ($(3.9)$ 参考) 。 $(3.4)(3.5)$ から、$y=\frac{1}{\sqrt{2}}$ であるので、 次の結論を得る。 すなわち、 $f(x,y)$ は $ (x,y) = (\frac{1}{\sqrt{2}}, \frac{1}{\sqrt{2}}) $ で 極大になる。 このとき、 極大値は $(3.9)$ $(3.2)$ $(3.5)$ より、
である。
  同じように考察すると、 $f(x,y)$ は

$ (x,y) = (\frac{1}{\sqrt{2}}, -\frac{1}{\sqrt{2}}) $ で 極小値になり、極小値は $-\frac{1}{2}$ である。
$ (x,y) = (-\frac{1}{\sqrt{2}}, \frac{1}{\sqrt{2}}) $ で 極小値になり、極小値は $-\frac{1}{2}$ である。
$ (x,y) = (-\frac{1}{\sqrt{2}}, -\frac{1}{\sqrt{2}}) $ で 極大値になり、 極大値は $\frac{1}{2}$ である

ことが分かる。

多変数の場合
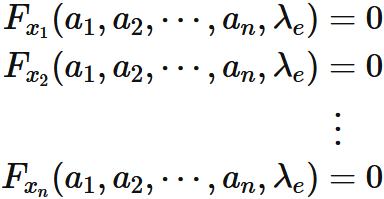
  条件
$$ \tag{4.1} $$ のもとで、 関数
が 点
$$ \tag{4.2} $$ に極値を持つとする。 このとき、 関数 $F$ を
と定義すると、 $j=1,2,\cdots, n$ の中のどれか一つでも
であるならば、
$$ \tag{4.3} $$ を満たす $\lambda_{e}$ が存在する。
  連立方程式 $(4.3)$ を解き 極値 $ (4.2) $ を求める方法を ラグランジュの未定乗数法 (Lagrange multiplier) という。(証明略)