逆行列の行列式

  $A$ を 正則行列 ( 逆行列が存在する行列 )とするとき、 $A$ の逆行列 $A^{-1}$ の 行列式 $|A^{-1}|$ は、もとの行列の行列式の逆数に等しい。すなわち、
逆行列の行列式
が成り立つ。
  証明と簡単な例を以下に記す。

  証明と例

  $A$ は正則行列なので、 逆行列 $A^{-1}$ が存在する。 すなわち、
を満たす $A^{-1}$ が存在する。
  これより、
が成り立つ。
  左辺は積の行列式の性質から
である。 右辺は単位行列の行列式であるので
である。 ゆえに
が成り立つ。
  これより、
を得る。
具体例:
  行列
の逆行列は、
である (「2行2列の逆行列」を参考) 。
  このとき、$2$ 行 $2$ 列の行列式の計算から、
であり、
である。 ゆえに、
が成立している。
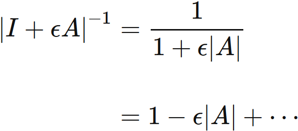
応用例:
  任意の実数 $\epsilon$ に対し、
が成り立つことを示す。
  上の公式を用いると、
である ( 和の行列式が行列式の和になることを用いた )。
  ここで、関数 $\frac{1}{1+x}$ の級数展開が
であることを用いると、
が成り立つことが分かる。