外積の長さ = 平行四辺形の面積  

平行四辺形の面積
  2つのベクトル $\mathbf{a}$ と $\mathbf{b}$ から成る 平行四辺形の面積 $S$ は、 $\mathbf{a}$ と $\mathbf{b}$ の外積の長さ (ノルム) に等しい。 \begin{eqnarray} S = \| \mathbf{a} \times \mathbf{b} \| \end{eqnarray} が成り立つ。
  ここで、 $\theta$ はベクトル $ \mathbf{a} $ と $ \mathbf{b} $ の成す角であり、 $0 \leq \theta \leq \pi$ とする。
証明
  2つのベクトル $\mathbf{a}$ と $\mathbf{b}$ によって構成される平行四辺形の面積を $S$ とする(下図)。
平行四辺形の面積は、 底辺と高さの積であるので、
である。
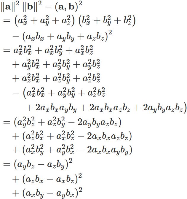
  両辺を二乗すると、
が成立するが、内積とコサインの間に
の関係があるので、
と表せる。
  右辺を成分で表して計算すると、
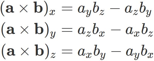
であるが、 最後に現れた3つの項は、 外積 $\mathbf{a} \times \mathbf{b}$ の3成分そのものであるので、 すなわち、
であるので、
が成立する。 これと $(2)$ から、
をうる。
 

外積と $\sin$
  上の議論から明らかなように、 2つのベクトル $\mathbf{a}$ と $\mathbf{b}$ によって構成される平行四辺形の面積 $S$ は 外積のノルムに等しく、 すなわち、 \begin{eqnarray} S &=& \| \mathbf{a} \times \mathbf{b} \| \end{eqnarray} であり、 一方で、$S$ は底辺×高さに等しい。 すなわち、 \begin{eqnarray} S = \| \mathbf{a} \| \hspace{1mm}\| \mathbf{b} \| \sin \theta \end{eqnarray} である。したがって \begin{eqnarray} \| \mathbf{a} \times \mathbf{b} \| = \| \mathbf{a} \| \hspace{1mm}\| \mathbf{b} \| \sin \theta \end{eqnarray} が成り立つ。
  このように外積のノルムから成す角のsinが得られる。
三角形の面積
  ベクトル $\mathbf{a}$ と $\mathbf{b}$ から成る三角形の面積 $T$ は、 \begin{eqnarray} T = \frac{1}{2} \| \mathbf{a} \times \mathbf{b} \| \end{eqnarray} である。
証明
  ベクトル $\mathbf{a}$ と $\mathbf{b}$ から成る平行四辺形の面積が $S$ が \begin{eqnarray} S = \| \mathbf{a} \times \mathbf{b} \| \end{eqnarray} であり、 三角形の面積 $S$ は平行四辺形の面積 $T$ の半分であるので、 \begin{eqnarray} T &=& \frac{1}{2}S \\ &=& \frac{1}{2} \| \mathbf{a} \times \mathbf{b} \| \end{eqnarray} である。