ベクトル四重積

  $3$ 次元ベクトル $\mathbf{a}$、$\mathbf{b}$、$\mathbf{c}$、$\mathbf{d}$ の積
ベクトル四重積 (vector quadruple product) と呼ぶ。
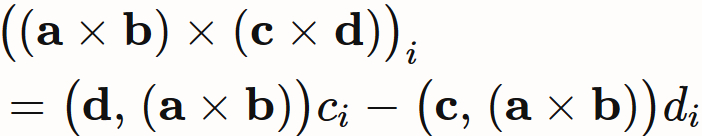
  ベクトル四重積は次の恒等式を満たす。
ベクトル四重積の恒等式
以下に証明を記す。

解説

成分による証明
  $3$ 次元ベクトル $\mathbf{a}$、$\mathbf{b}$、$\mathbf{c}$、$\mathbf{d}$を
と表す。
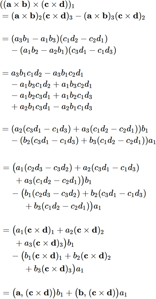
  外積の定義より、 $\mathbf{a} \times \mathbf{b}$ と $\mathbf{c} \times \mathbf{d}$ の各成分は、
である。 これらより、
が成り立つ。
  他の成分についても同様の関係が成り立つことから、
を得る。
  また、同じように計算することによって、
も得られる。
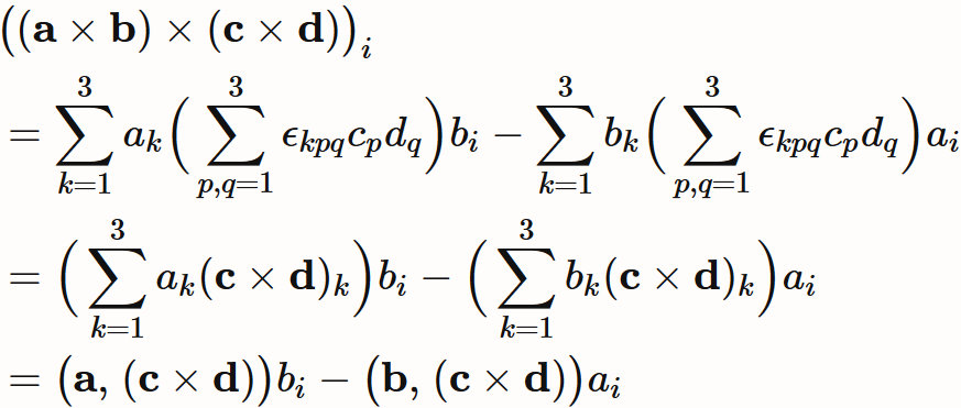
補足:   レビ・チビタの記号を使って証明
  外積をレビチビタの記号を使って表すと、
である (「外積とレビチビタの記号」を参考)。 ここで $j,k=1,2,3$ である。
  これらより、
と表せる。 最後の等式では Levi-Civita の記号の巡回性
を用いた。
  さらにレビチビタの記号の恒等式
(証明はレビチビタの記号の性質を参考) を用いると、
と表せる。 最後の等式では クロネッカーのデルタの定義
を用いた。
  さらに計算を進めると、 外積と内積の定義から、
となる。
  同様に
も証明される。