全射・単射・全単射とは?

写像
  集合 $X$ の各元から集合 $Y$ の元が唯一つ定まる規則があるとき、 その規則 $f$ を写像といい、
写像
と表す。
  $X$ の各元 $x$ から写像 $f$ によって得られる $Y$ の元 $y$ を $f$ による $x$ のといい、
像
と表す。$f$ による像の全体を集合 $X$ の像といい、 $f(X)$ または $\mathrm{Im} \hspace{0.5mm}f$ と表す。 すなわち、
である。
例と解説
  集合 $X$ と集合 $Y$ の間の以下の規則
写像
は写像である。 なぜなら、$X$ の各元から $Y$ の元が唯一つ定まる規則になっている。 また、$X$ の各元の像は、
であり、 $f$ による $X$ の像 $\mathrm{Im}\hspace{0.5mm} f$ は
である。
  一方、集合 $X$ と集合 $Y$ の間の以下の規則
写像でない
は写像ではない。 なぜなら、$X$ の各元から $Y$ の元が唯一つに定まらない規則になっているからである ($X$ の元 $2$ が $Y$ の元 $6$ または $8$ になる規則になっている)。
  このように、$X$ から $Y$ への規則を対応図で表したときに、 $X$ の各元から矢印が一本だけ出ているときには、その規則は写像である。

全射
  写像
による $X$ の $\mathrm{Im} \hspace{0.5mm} f$ が $Y$ 全体に等しい場合、 すなわち、
全射
$$ \tag{2.1} $$ であるとき、 写像 $f$ が全射(surjective)であるという。 または $X$ から $Y$ の上への写像という。
  $(2.1)$ は、$Y$ の全ての元が $X$ の元の像であることを表している。 したがって、 $(2.1)$ ば次のように言い表しても良い。すなわち、 任意の $y \in Y$ に対して、 \begin{eqnarray} f(x) = y \end{eqnarray} を満たす $x \in X$ が存在する。 これが成り立つならば、 $f$ は全射である。
例と解説
  集合 $X$ から集合 $Y$ への以下の写像
全射の例
は全射である。 なぜなら、$Y$ の全ての元が $X$ の元の像になっているからである。 正確には、
であり、 $X$ の $\mathrm{Im} \hspace{0.5mm} f$ が
であるので、
が成り立つ。したがって、$f$ は全射である。
  一方、集合 $X$ から集合 $Y$ への以下の写像
全射でない例
は全射ではない。 なぜなら、$Y$ の元 $8$ は $X$ の元の写像になっていないからである。 正確には、 $X$ の $\mathrm{Im} \hspace{0.5mm} f$ が
であるので、
となっている。したがって、$f$ は全射ではない。
  このように、 $f$ を対応図で表したときに、 $Y$ の全ての元に $X$ の元から矢印が到達しているときには、 $f$ は全射である。

単射
  写像
において、 $X$ の各元 $x$ の $y$ が $x$ のみの像であるならば、 $f$ を単射 (injection) であるという。 または $X$ から $Y$ への $1$ 対 $1$ (onto) の写像であるという。
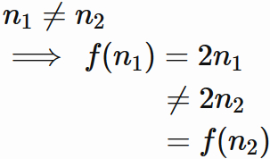
  $f$ が単射であるとき、 異なる二つの $X$ の元 $x_{1}, x_{2}$ のそれぞれの像 $f(x_{1}), f(x_{2})$ が一致することはない (もし一致すると、その像が $X$ の二つの元の像になってしまう)。 したがって、正確には 写像 $f$ に対して
単射
が成り立つとき、$f$ を単射という。
例と解説
  集合 $X$ から集合 $Y$ への以下の写像
単射の例
は単射である。 なぜなら、 $Y$ の像の各元が $X$ の唯一つの元の像になっているからである。 正確には、
であることから、 写像 $f$ に対して
が成り立っているので、 $f$ は単射である。
  一方、集合 $X$ から集合 $Y$ への以下の写像
単射でない例
は単射ではない。 なぜなら、$Y$ の元 $8$ は $X$ の元 $2$ の像でもあり、$4$ の像でもあるからである。 正確には、$X$ の異なる元 $2$ と $4$ に対して、
が成り立つので、 $f$ は単射ではない。
  このように、 $f$ を対応図で表したときに、 $Y$ の元に矢印が一本だけ到達している場合には、 $f$ は単射である。

全単射
  写像 $f$ が全射かつ単射であるとき、 全単射 (bijection)であるという。 すなわち、 集合 $X$ から 集合 $Y$ への写像 $f$ が
が成り立つとき、$f$ が全単射であるという。
例と解説
  集合 $X$ から集合 $Y$ への以下の写像
全単射の例
を調べる。 $Y$ の全ての元が $X$ の元の像になっているので、 正確には、
であるので、 $f$ は全射である。 また、
であることから、
が成り立つので、 $f$ は単射である。 以上から $f$ は全単射である。
  一方、集合 $X$ から集合 $Y$ への以下の写像
全単射でない例
は全単射ではない。 なぜなら、$Y$ の元 $9$ は $X$ の元の写像になっていないからである。 正確には、 $X$ の $\mathrm{Im} \hspace{0.5mm} f$ が
であるので、 $f$ は全射ではない。したがって、$f$ は全単射ではない。
  また、集合 $X$ から集合 $Y$ への以下の写像
単射でない例
もまた全単射ではない。 なぜなら、$Y$ の元 $7$ は $X$ の元 $2$ の像でもあり、$4$ の像でもあるからである。 正確には、$X$ の異なる元 $2$ と $4$ に対して、
が成り立つので、 $f$ は単射ではない。 したがって、全単射でもない。

逆写像の存在
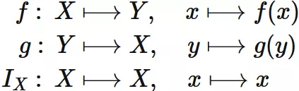
  $X$ から $Y$ への写像
全単射のとき、 任意の $y \in Y$ に対して、 $f(x)=y$ となる $x \in X$ が唯一つ存在する (下の解説を参考)。 それゆえ、 $Y$ から $X$ への写像
全単射ならば逆写像が存在
が存在する。 $g$ を $f$ の逆写像 (逆像、inverse map) といい、 $f^{-1}$ と表される。 このとき、
が成り立つ。
解説
  $f$ は全射であるので、 任意の $y \in Y$ に対して、 $y=f(x)$ となる $x \in X$ が存在する。
  また、$f$ は単射であるので、 $X$ の異なる二つの任意の元 $x_{1}, x_{2}$ のそれぞれの像 $f(x_{1}), f(x_{2})$ が一致することはない。 すなわち、
が成り立つ。
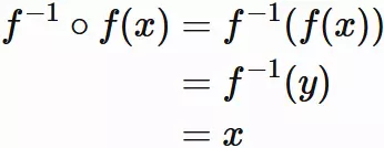
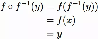
これは、 任意の $y \in Y$ に対して、 $y=f(x)$ となる $x \in X$ が唯一つであることを表している。 したがって、 任意の $y \in Y$ を $x \in X$ にする $Y$ から $X$ への写像を定義できる。 それを $f^{-1}$ と表すと、
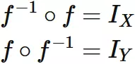
である。 $f^{-1}$ を $f$ の逆写像といい、 $y=f(x)$ に対して、$x=f^{-1}(y)$ が成り立つ。 これを用いると、 合成写像 $f \circ f^{-1}$ は
を満たす。 よって、 $f \circ f^{-1}$ は $Y$ 上の恒等写像である。 すなわち、
である。 同じように、任意の $x \in X$ に対して、
が成り立つ。 よって、 $f^{-1} \circ f$ は $X$ 上の恒等写像である。 すなわち、
である。

補題:   $g\circ f =I \Longrightarrow$ $\{$ $f$ は単射、$g$ は全射 $\}$
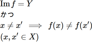
  集合 $X$ から集合 $Y$ への写像を $f$ とし、 $Y$ から集合 $X$ への写像を $g$ とし、 $X$ 上の恒等写像を $I_{X}$ とする。すなわち、
とする。 このとき、 $f$ と $g$ の合成写像が $X$ 上の恒等写像に等しいならば、 $f$ は単射であり、 $g$ は全射である。 すなわち、
が成り立つ。
証明
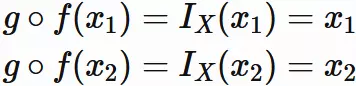
$f$ は単射
が成り立つとする。 このとき、 $x_{1}, x_{2} \in X$ に対して、
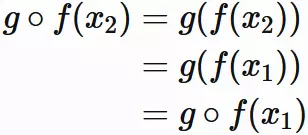
である。また、 $f(x_{1})=f(x_{2})$ であるならば、
が成り立つ。 これらより、
である。すなわち、
が成り立つ。対偶をとると、
であるので、 $f$ は 単射である。
$g$ は全射
  任意の $x \in X$ に対して、
が成り立つ。 $f(x) = y$ とすると、$y \in Y$ であり、
と表される。 これは 任意の $x \in X$ に対して、 $g(y)=x$ となる $Y$ の元 $y$ が存在することを表している。 したがって、 $g$ は全射である。

逆写像は全単射
逆写像全単射である。
証明
  $f$ を 集合 $X$ から集合 $Y$ への写像とする。 このとき、 $f$ とその逆写像 $f^{-1}$ から成る合成写像には、
$$ \tag{7.1} $$ が成り立つ (こちらを参考)。 ここで $I_{X}$ と $I_{Y}$ はそれぞれ $X$ と $Y$ 上の 恒等写像である。 補題より、 $(7.1)$ の第一式から $f^{-1}$ は全射であることが分かる。 第二式から $f^{-1}$ は単射であることが分かる。 従って、 逆写像 $f^{-1}$ は全単射である。

例題
  以下の写像は全射・単射・全単射であるか。あるいはいずれでもないのか。
($\mathbf{R}$ は実数全体、$\mathbf{N}$ は自然数全体)
解答例
$(1)$ の解答
  写像
の写像先の集合 $\mathbf{N}$ (右側の $\mathbf{N}$) の元の中には、像でない元がある。 例えば $1$ と $3$ はいずれも $f$ の像ではない (下図参考)。 従って、$\mathrm{Im} f \neq \mathbf{N}$ であるので、$f$ は全射ではない。
一方、$f$ の像には必ず一本の矢印が向いている。正確には
が成り立つので、$f$ は単射である。
$(2)$ の解答
  写像
において集合 $ [0, \hspace{1mm} \infty) $ の任意の元は $\mathbf{R}$ の像になっている。 例えば $ [0, \hspace{1mm} \infty) $ の元 $2$ は $\mathbf{R}$ の元 $-\sqrt{2}$ と $\sqrt{2}$ の像である (下図参考)。 したがって、$f$ は全射である。
一方、$f$ の像の各元は $\mathbf{R}$ の二つの元の像になっている。 例えば、元 $2$ は $\mathbf{R}$ の元 $-\sqrt{2}$ と $\sqrt{2}$ の二つの元の像である (上図参考)。 すなわち、
におい であるので、 $f$ は単射ではない。