恒等写像と合成写像

恒等写像
- 定義
- 具体例
- 全単射

合成写像
- 定義
- 具体例
- 性質
恒等写像
  集合 $X$ の元 $x$ に、 $x$ そのものを対応づける写像を $I_{X}$ とする。 すなわち、
恒等写像の定義
とする。これを恒等写像 (identity map) という。
恒等写像の例
$(1)$   $\mathbf{R}$ を実数全体の集合とする。 $\mathbf{R}$ の元 $x$ を $x$ にする写像
恒等写像の例
は $\mathbf{R}$ 上の 恒等写像である。


$(2)$   $M_{2}$ を $2 \times 2$ の実行列全体の集合とする。 $M_{2}$ の元 $m_{2}$ を $m_{2}$ にする写像
は $M_{2}$ 上の 恒等写像である。
補足
$(1)$   任意の実数 $x$ に対して、 $1$ を掛けても値は変わらない。 したがって、写像
は、$\mathbf{R}$ 上の 恒等写像である。


$(2)$   任意の $2 \times 2 $ 行列
に対して、 $2 \times 2 $ の単位行列
をどちらから掛けても変化しない。 すなわち、
が成り立つので、 写像
は、$M_{2}$ 上の 恒等写像である。

恒等写像は全単射
  恒等写像全単射である。
証明
  集合 $X$ に対する恒等写像
$\mathrm{Im}\hspace{0.5mm} I_{X}$ は、 明らかに $X$ そのものであるので、 すなわち、
であるので、 $I_{X}$ は全射である。
  また、 $x, x' \in X$ に対して、
が成り立つので、 対偶を考えると、
が成り立つ。ゆえに、 $I_{X}$ は単射である。
  以上から $I_{X}$ は、 全射かつ単射であるので、全単射である。

合成写像
  集合 $X$ から集合 $Y$ への写像を $f$ とし、 $Y$ から集合 $Z$ への写像を $g$ とする。 すなわち、
とする。 このとき、 $X$ から $Z$ への写像で、$x $ を $g (f(x)) $ にする写像を $f$ と $g$ との 合成写像といい、 $g \circ f$ と表す。 すなわち、
である。
合成写像の例
  $(1)$   $\mathbf{R}$ を実数全体の集合とする。 写像 $f$ と $g$ を
と定義する。 合成写像 $g \circ f$ は
である。


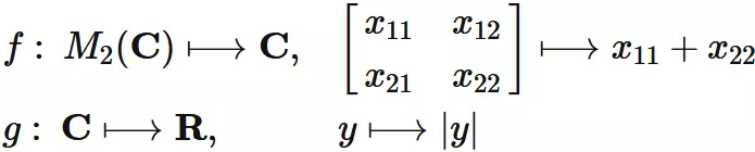
$(2)$   $\mathbf{C}$ を複素数全体の集合とする。 $M_{2} (\mathbf{C})$ を $2 \times 2$ の複素行列全体の集合とする。 写像 $f$ と $g$ を
と定義する。 合成写像 $g \circ f$ は
である。
性質
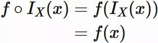
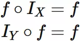
  集合 $X$ から 集合 $Y$ への写像 $f$ と、 $X$ 上の恒等写像 $I_{X}$ と、 $Y$ 上の恒等写像 $I_{Y}$ に対して、
が成り立つ。 すなわち、 ある写像と恒等写像から成る合成写像は、もとの写像に等しい。
証明
  恒等写像の定義から 任意の $x \in X$ に対して、
が成り立つので、
である。同じように、
が成り立つので、
である。