線形写像の例と性質

  本ページでは話を簡潔にするため、 実ベクトル空間上の線形写像について議論する。
線形写像と線形変換
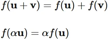
  実ベクトル空間 $U$ から実ベクトル空間 $V$ への写像
が、任意の $\mathbf{u},\mathbf{v} \in U$ と任意の $ \alpha \in \mathbf{R} $ (実数) に対して、 次の条件
線形写像
が満たすとき、 $f$ を $V$ 上への線形写像という。
  また、$U$ から $U$ 自身への線形写像
線形変換 (一次変換) という。
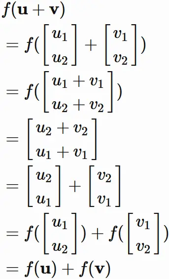
例1:   フリップ
  $2\times 1$ の実行列 $\mathbf{R}^{2}$ の任意の行列を
と表す。このとき、 $\mathbf{R}^{2}$ から $\mathbf{R}^{2}$ への写像
は、 線形写像である。
証明
  任意の $\mathbf{u},\mathbf{v} \in \mathbf{R}^{2}$ を
と表すとき、
が成り立つ。 また、 任意の $ \alpha \in \mathbf{R} $ (実数) に対して、
が成り立つ。 したがって $f$ は線形写像である。 また、 $\mathbf{R}^{2}$ から同じ $\mathbf{R}^{2}$ への線形写像であるので、 $f$ は線形変換である。

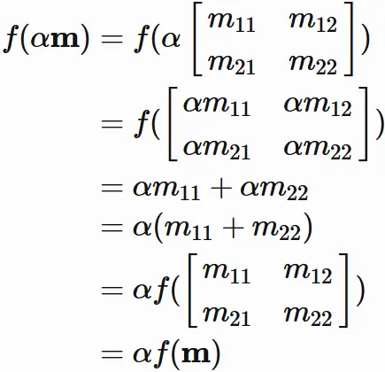
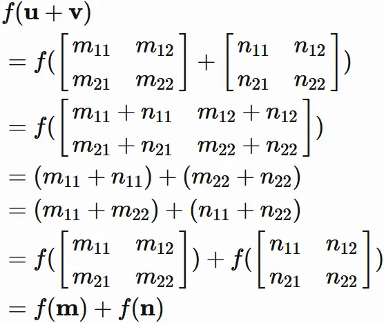
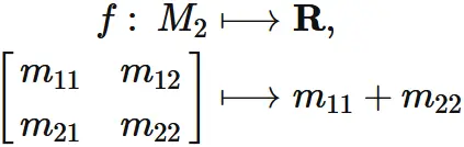
例2:   $2\times 2$ トレース
  $2 \times 2$ の実行列 $ M_{2} $ の任意の行列を
と表す。 このとき、 $M_{2}$ から実数 $ \mathbf{R} $ への写像
は、 線形写像である。
証明
  任意の $\mathbf{m},\mathbf{n} \in M_{2}$ を
と表すとき、
が成り立つ。 また、任意の $ \alpha \in \mathbf{R} $ (実数) に対して、
が成り立つ。 したがって $f$ は線形写像である。

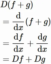
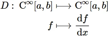
例3:   微分
  区間 $[a,b]$ 上の $\mathrm{C}^{\infty}$ 級関数 の集合を $\mathrm{C}^{\infty}[a,b]$ と表す。 このとき、導関数に変換する写像
微分は線形写像
は、 線形写像である。
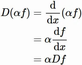
証明
  任意の $f,g \in \mathrm{C}^{\infty}[a,b]$ に対し、 和の微分の性質から
が成り立つ。 また、任意の $ \alpha \in \mathbf{R} $ (実数) に対して、 定数倍の微分の性質により、
が成り立つ。 したがって $D$ は線形写像である。 また、 $D$ は $\mathrm{C}^{\infty}[a,b]$ から同じ $\mathrm{C}^{\infty}[a,b]$ への線形写像であるので、 $f$ は線形変換である。

基本的性質
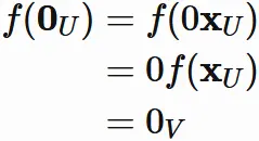
  $f$ を ベクトル空間 $U$ からベクトル空間 $V$ への線形写像とする。 このとき、

(1)   $\mathbf{0}_{U}$ と $\mathbf{0}_{V}$ をそれぞれ $U$ と $V$ の零ベクトルとするとき、
が成り立つ。

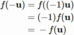
(2)   任意の $\mathbf{u} \in U$ に対して、
が成り立つ。

(3)   任意の $\mathbf{u},\mathbf{v} \in U$ と任意の $\alpha,\beta \in \mathbf{R}$ に対して、
が成り立つ。
証明
$(1)$
  零ベクトルの性質より、 任意の $\mathbf{x}_{U} \in U$ と任意の $\mathbf{x}_{V} \in V$ に対して、
$$ \tag{5.1} $$ が成り立つ。ここで左辺の $0$ は実数の $0$ である。 これらと、 $f$ が 線形写像であることを用いると、
が成り立つ。 ここで3つ目の等号では $(5.1)$ の第二式を用いた。


$(2)$
  逆ベクトルの性質と $f$ が 線形写像であることを用いると、
が成り立つ。


$(3)$
  $f$ が 線形写像であることを用いると、
である。

合成写像も線形
  $U$、$V$、$W$ を実ベクトル空間とし、 $f$ を $U$ から $V$ への線形写像、 $g$ を $V$ から $W$ への線形写像とする。 このとき、合成写像 $g\circ f$ もまた線形写像である。
証明
  $f$ と $g$ が線形写像であることと、 任意の $ \mathbf{u}_{1}, \mathbf{u}_{2} \in U$ に対して、
が成り立つ。また、 任意の $ \mathbf{u}\in U$ と 任意の $ \alpha \in \mathbf{R} $ に対して、
が成り立つので、 合成写像 $g\circ f$ もまた線形写像である。

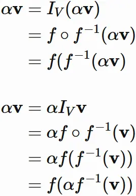
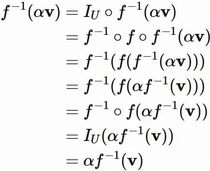
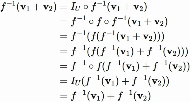
逆写像も線形
  $U$、$V$ を実ベクトル空間とし、 $f$ を $U$ から $V$ への線形写像であるとする。 $f$ が全単射であるならば、 $V$ から $U$ への逆写像 $f^{-1}$ が存在する。 このとき、 $f^{-1}$ もまた線形写像である。
証明
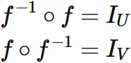
  はじめに $f^{-1}$ が $f$ の逆写像であるので、
$$ \tag{7.1} $$ が成り立つ。 ここで $I_{U}$ と $I_{V}$ はそれぞれ $U$ と $V$ 上の恒等写像である。 このとき、 任意の $ \mathbf{v}_{1}, \mathbf{v}_{2} \in V$ に対して、
が成り立つ。最後の等号では、 $f$ が線形写像であることを用いた。 これより、
が成り立つ。 これと $(7.1)$ を用いると、
$$ \tag{7.2} $$ を得る。 同様に、任意の $ \mathbf{u}\in U$ と 任意の $ \alpha \in \mathbf{R} $ に対して、
が成り立つ。最後の等号では、 $f$ が線形写像であることを用いた。 これより、
が成り立つ。 これと $(7.1)$ を用いると、
$$ \tag{7.3} $$ が成り立つ。 以上の $(7.2)$ と $(7.3)$ から逆写像 $f^{-1}$ は線形写像である。

部分空間とランク
  実ベクトル空間 $U$ から実ベクトル空間 $V$ への線形写像
による $U$ の $ \mathrm{Im}\hspace{0.5mm} f $ は、 $V$ の部分空間を成す。 $ \mathrm{Im}\hspace{0.5mm} f $ の次元を $f$ のランクという。 すなわち、
線形写像のランク
である。 行列のランクもこの定義と同様である。
証明
  $ \mathrm{Im}\hspace{0.5mm} f $ が $V$ の部分空間を成すことを証明する。
  $\mathrm{Im}\hspace{0.5mm} f$ は集合 $U$ のであるから、 任意の $\mathbf{v}_{1}, \mathbf{v}_{2} \in \mathrm{Im}\hspace{0.5mm} f$ において
を満たす $\mathbf{u}_{1}, \mathbf{u}_{2} \in U$ が存在する。 これと $f$ が線形写像であることから、
$$ \tag{8.1} $$ である。 同じように、任意の $ \alpha \in \mathbf{R} $ に対して、
$$ \tag{8.2} $$ が成り立つ。 以上の $(8.1)$ と $(8.2)$ から、 $ \mathrm{Im}\hspace{0.5mm} f$ は $V$ の部分空間を成すことが分かる。