部分空間とは?

部分空間の定義
  実ベクトル空間に対して定義する。 $\mathcal{R}$ を実数全体、 $V$ を実ベクトル空間とする。 $V$ の空でない部分集合 $W$ が
部分空間
を満たすとき、 $W$ を $V$ の部分空間と呼ぶ。
例1: 平面
  $V$ を3次元ベクトル空間とする。このとき、 集合
部分空間の例、平面
は $V$ の部分空間を成すことを証明する。
  ($V$ の部分空間ではない例はこちら)
証明
  $W$ の任意の元の二つを
とする。$\mathbf{r}_{1}\in W$, $\mathbf{r}_{2}\in W$ であるので、
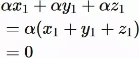
が成り立つ。 このとき、
に対して、
が成り立つ。したがって、
である。 また、
に対して、
が成り立つ。したがって、
以上から、 $W$ は $V$ の部分空間を成す。
補足
  $W$ は 原点を通る平面である。一般に原点を通る平面は $V$ の部分空間を成す。

例2: 対角行列
  $n \times n$ 行列の全体を $M_{n}$ とする。 $M_{n}$ はベクトル空間を成す。 対角行列全体の集合 $D_{n}$ が $M_{n}$ の部分空間を成すことを証明する。
証明
  任意の $n \times n$ の対角行列を
とする。 このとき、
であるので、
である。また、
であるので、
である。 よって、 $D_{n}$ は $M_{n}$ の部分空間を成す。

例3: 平面   (部分空間でない)
  $V$ を3次元ベクトル空間とする。このとき、 集合
は $V$ の部分空間でないことを証明する。
  ($V$ の部分空間である例はこちら)
証明
  $W$ の任意の元の二つを
部分空間でない例、平面
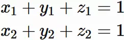
とする。$\mathbf{r}_{1}\in W$, $\mathbf{r}_{2}\in W$ であるので、
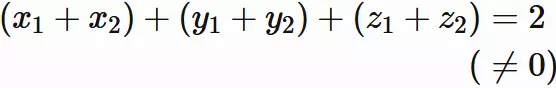
が成り立つ。 このとき、
に対して、
が成り立つ。したがって、
であるので、 $W$ は $V$ の部分空間ではない。
補足
  $W$ は 原点を通らない平面であり、 $V$ の部分空間でない。

$W_{1} \cap W_{2}$ は部分空間
  $W_{1}$ と $W_{2}$ をベクトル空間 $V$ の部分空間とする。 このとき、 $W_{1} \cap W_{2}$ もまた $V$ の部分空間である。

証明
  $a,b$ を任意の $W_{1} \cap W_{2}$ の元とすると、 $a,b \in W_{1}$ であるから、
である。また、 $a,b \in W_{2}$ であるから、
である。 ゆえに、
であるので、 $W_{1} \cap W_{2}$ は $V$ の部分空間を成す。