和空間・直和空間・補空間

和空間
  $V_{1}$ と $V_{2}$ を ベクトル空間 $V$ の部分空間とするとき、$V_{1}$ のベクトルと $V_{2}$ のベクトルの和の全体から成る集合
和空間
もまた $V$ の部分空間となる。 これを和空間 $V_{1}+V_{2}$ という。
和空間の例
$V_{1}$ を
$$ \tag{2.1} $$ を基底とするベクトル空間とする。 また、 $V_{2}$ を
$$ \tag{2.2} $$ を基底とするベクトル空間とする。 このとき和空間 $V_{1} + V_{2}$ は、 $(2.1)$ と $(2.2)$ の線形結合の全体から成るベクトル空間である。 従って、 $V_{1} + V_{2}$ の任意のベクトル $\mathbf{v}$ は、
と表される。 ここで $C_{1a}$ と $C_{1b}$ と $C_{2a}$ は線形結合の係数である。
直和空間
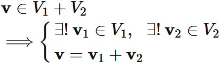
  和空間 $V_{1}+V_{2}$ の任意のベクトル $\mathbf{v}$ が、 $V_{1}$ のベクトル $\mathbf{v}_{1}$ と $V_{2}$ のベクトル $\mathbf{v}_{1}$ の和によって、 一意に表されるおき、 すなわち、
直和空間の定義
$$ \tag{3.1} $$ であるとき、 和空間 $V_{1}+V_{2}$ が直和空間であるという。 ここで $\exists!$ は唯一つ存在することを表す記号である。 直和空間は、
直和空間
と表わされる ($\oplus$ は直和を表す記号)。
補空間
  部分空間 $V_{1}$ と $V_{2}$ から成る直和空間 $V_{1} \oplus V_{2}$ があるとき、 $V_{2}$ を $V_{1}$ の補空間という。 逆に $V_{1}$ を $V_{2}$ の補空間という。
直和空間の例
  二つベクトル
$$ \tag{5.1} $$ を基底とする $2$ 次元ベクトル空間を $V$ とする。

  • $ \mathbf{e}_{1} $ を基底とするベクトル空間を $V_{1}$ とする。 $V_{1}$ は $V$ の部分空間である。
  • $ \mathbf{e}_{2} $ を基底とするベクトル空間を $V_{2}$ とする。 $V_{2}$ は $V$ の部分空間である。

定義より和空間 $V_{1}+V_{2}$ の任意のベクトル $\mathbf{v}$ は、 $V_{1}$ のベクトルと $V_{2}$ のベクトルの和で表される。すなわち、
と表される。また、 $\mathbf{v}_{1} \in V_{1}$ と $\mathbf{v}_{2} \in V_{2}$ であるから、
と表せる。 ここで $C_{1}$ と $C_{2}$ は係数である。 以上から、
$$ \tag{5.2} $$ と表される。 この表し方は一意である。それを見るために、$\mathbf{v}$ に他の表し方
$$ \tag{5.3} $$ があると仮定する。 $(5.2)$ と $(5.3)$ が別の表し方であると仮定したので、
$$ \tag{5.4} $$ である。 $(5.2)$ と $(5.3)$ の差をとると、
となるが、 $\mathbf{e}_{1} $ と $\mathbf{e}_{2} $ が線形独立であるので、
が成り立つ (なお線形独立性を証明する一つの方法は $2 \times 2$ 行列 $[\mathbf{e}_{1} \hspace{1mm} \mathbf{e}_{2}]$ の行列式が $0$ でないことを示せばよい)。 これは $(5.4)$ と矛盾する。 したがって、 $\mathbf{v}$ に $(5.2)$ 以外の別の表し方は存在しない。 すなわち、 $\mathbf{v}$ の表し方は一意である。
  以上から、 和空間 $V_{1} + V_{2}$ の任意のベクトルが、 $V_{1}$ と $V_{2}$ に属するベクトルの和によって一意に表されることが示されたので、 和空間 $V_{1} + V_{2}$ は、直和空間
である。 このとき、 $V_{2}$ は $V_{1}$ の補空間であり、 逆に $V_{1}$ は $V_{2}$ の補空間である。
和空間であって直和空間でない例
  三つのベクトル
$$ \tag{6.1} $$ を基底とする $3$ 次元ベクトル空間を $V$ とする (いわゆる $xyz$ の $3$ 次元空間)。

  • $ \mathbf{e}_{x} $ と $ \mathbf{e}_{y} $ を基底とするベクトル空間を $V_{1}$ とする。 $V_{1}$ は $V$ の部分空間であり、$xy$ 平面を構成する。
  • $ \mathbf{e}_{y} $ と $ \mathbf{e}_{z} $ を基底とするベクトル空間を $V_{2}$ とする。 $V_{2}$ は $V$ の部分空間であり、 $yz$ 平面を構成する。

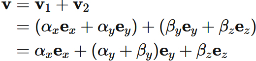
定義より和空間 $V_{1}+V_{2}$ の任意のベクトル $\mathbf{v}$ は、 $V_{1}$ のベクトルと $V_{2}$ のベクトルの和で表される。すなわち、
$$ \tag{6.2} $$ と表される。また、 $\mathbf{v}_{1} \in V_{1}$ と $\mathbf{v}_{2} \in V_{2}$ であるから、 $\mathbf{v}_{1}$ は $ \mathbf{e}_{x} $ と $ \mathbf{e}_{y} $ の線形結合で表すことができ、 $\mathbf{v}_{2}$ は $ \mathbf{e}_{y} $ と $ \mathbf{e}_{z} $ の線形結合で表すことができる。 すなわち、
と表せる。 ここで $\alpha_{x}$, $\alpha_{y}$, $\beta_{y}$, $\beta_{z}$ は線形結合の係数である。 これらを用いると、 $\mathbf{v}$ は
$$ \tag{6.3} $$ と表される。
  一方で、 $ V_{1}$ のベクトル $\tilde{\mathbf{v}}_{1}$ を
と定義し ($\gamma_{y}\neq 0$ とする) 、 $ V_{2}$ のベクトル $\tilde{\mathbf{v}}_{2}$ を
と定義すると、
であり、 $(6.3)$ より、
$$ \tag{6.4} $$ である。 したがって、 $\mathbf{v}$ には $(6.2)$ と $(6.4)$ の異なる二通りに表し方がある。
すなわち、 和空間 $V_{1} + V_{2}$ のベクトル $\mathbf{v}$ の $V_{1}$ と $V_{2}$ のベクトルの和による表し方が一意ではないので、 $V_{1} + V_{2}$ は直和空間ではない。
線形独立な部分空間の和空間は直和空間
  $V_{1}$ と $V_{2}$ をベクトル空間 $V$ の部分空間とするとき、 $V_{1}$ の任意のベクトルと $V_{2}$ の任意のベクトルが線形独立であるならば、 和空間 $V_{1}+V_{2}$ は、 直和空間 $ V_{1} \oplus V_{2} $ である。

証明
  和空間 $V_{1} + V_{2}$ とは、 $V_{1}$ のベクトルと $V_{2}$ のベクトルの和の全体から成るベクトル空間のことであるので、 $V_{1} + V_{2}$ の任意のベクトルを $\mathbf{v}$ は、
$$ \tag{7.1} $$ と表される。
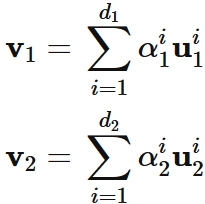
  $V_{1}$ と $V_{2}$ のそれぞれの次元を $d_{1}$ と $d_{2}$ とし、 それぞれの基底
$$ \tag{7.2} $$ と表すと、$\mathbf{v}_{1}$ と $\mathbf{v}_{2}$ は、これらの基底の線形結合によって表される。すなわち、
$$ \tag{7.3} $$ と表される。ここで $\alpha_{1}^{i}$ と $\alpha_{2}^{i}$ は、線形結合の係数である。
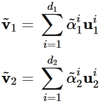
  一方、$\mathbf{v}$ には $(7.1)$ とは異なる表し方があると仮定し、それを
$$ \tag{7.4} $$ と表す。ここで
$$ \tag{7.5} $$ である。 $(7.3)$ と同様に、$\tilde{\mathbf{v}}_{1}$ と $\tilde{\mathbf{v}}_{2}$ は基底 $(7.2)$ の線形結合によって表される。すなわち、
$$ \tag{7.6} $$ である。ここで $\tilde{\alpha}_{1}^{i}$ と $\tilde{\alpha}_{2}^{i}$ は、線形結合の係数である。 $(7.1)$ と $(7.4)$ の差をとると、
であるが、 この式は $(7.3)$ と $(7.6)$ から、
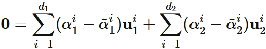
と表される。
  仮定より、 $V_{1}$ と $V_{2}$ の任意のベクトルは互いに独立であるので、 $(7.2)$ の $\mathbf{u}_{1}^{i}$ と $\mathbf{u}_{2}^{i}$ は、 互いに線形独立なベクトルである。 従って、
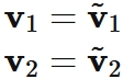
が成り立つ。 これと $(7.3)$ と $(7.6)$ から
が成立するが、 これは仮定 $(7.5)$ と矛盾する。
  したがって、 $\mathbf{v}$ を $V_{1}$ のベクトルと $V_{2}$ のベクトルの和で表す方法は唯一つである。 ゆえに、 和空間 $V_{1} + V_{2}$ は直和空間
である。