ベクトル空間

ベクトル空間
- 定義
-
- 零ベクトル
- 逆ベクトル

性質・例題
- 基本定理
- 諸性質
ベクトル空間の定義
  議論を簡潔にするために、 本ページでは実ベクトル空間を取り扱う。 以下の関係 $(\mathrm{I}.1)$ ~ $ (\mathrm{II}.5)$ を満たす集合 $V$ を実ベクトル空間という。
  任意の $\mathbf{x},\mathbf{y}\in V$ に対して、 和が "$+$" が定義されていて、
ベクトル空間
$$ \tag{I.1} $$
$$ \tag{I.2} $$ が成り立つ。 任意の $\mathbf{x},\mathbf{y},\mathbf{z}\in V$ に対して
$$ \tag{I.3} $$ が成り立つ。 任意の $\mathbf{x} \in V$ に対し、
$$ \tag{I.4} $$ を満たす $\mathbf{0} \in V$ が存在する。 "$\mathbf{0}$" を零ベクトルという。 任意の $\mathbf{x} \in V$ に対し、
$$ \tag{I.5} $$ を満たす $\mathbf{x}'$ が存在する。 $\mathbf{x}'$ を $\mathbf{x}$ の逆ベクトルという。 以上は、加法の公理と呼ばれる。
  $\mathbf{R}$ を実数全体の集合とする。 任意の $\mathbf{x}\in V$と任意の $\alpha \in \mathbf{R}$ に対して、 スカラー倍 "$\alpha \mathbf{x}$" が定義されていて、
$$ \tag{II.1} $$ である。 任意の $\mathbf{x},\mathbf{y} \in V $ と任意の $\alpha \in \mathbf{R}$ に対して、
$$ \tag{II.2} $$ が成り立つ。 任意の $\mathbf{x} \in V $ と任意の $\alpha, \beta \in \mathbf{R}$ に対して、
$$ \tag{II.3} $$
$$ \tag{II.4} $$ が成り立つ。 任意の $\mathbf{x} \in V $ に対して、
$$ \tag{II.5} $$ が成り立つ。以上の $(\mathrm{II}.1)$ ~ $(\mathrm{II}.5)$ をスカラー倍の公理という。

  以上の定義から、ベクトル空間の基本的な性質が導かれる (以下を参考)。
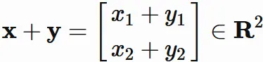
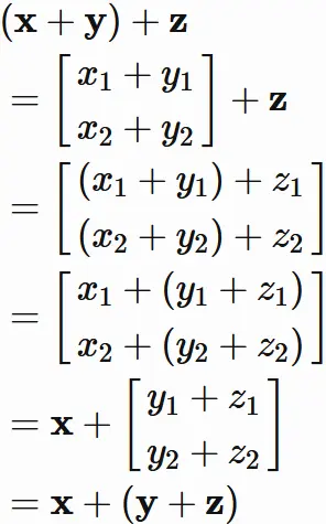
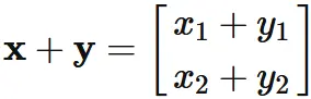
  $(1)$   実数を成分とする2行1列の行列全体を $\mathbf{R}^2$ とし、 任意の $\mathbf{x}, \mathbf{y} \in \mathbf{R}^2$ を
と表す。 このとき、 加法 "+" を
$$ \tag{2.1} $$ と定義し、 任意の $\alpha \in \mathbf{R}$ に対して、 スカラー倍を
$$ \tag{2.2} $$ と定義する。 このとき、 $\mathbf{R}^2$ はベクトル空間を成す。


$(2)$   正の実数を成分とする2行1列の行列全体を $\mathbf{R}^{2}_{+}$ とし、 加法とスカラー倍をそれぞれ $(2.1)$ と $(2.2)$ によって定義すると、 $\mathbf{R}^{2}_{+}$ はベクトル空間を成さない。
解説
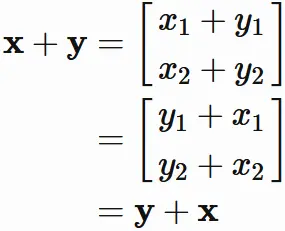
$(1)$ ベクトル空間を成すかどうかを順に確認する。 任意の $\mathbf{x}, \mathbf{y} \in \mathbf{R}^2$ に対して
であるので、 $(\mathrm{I}.1)$ は満たされる。
であるので、 $(\mathrm{I}.2)$ は満たされる。 任意の $\mathbf{z} \in \mathbf{R}^2$ の成分を
と表すと、
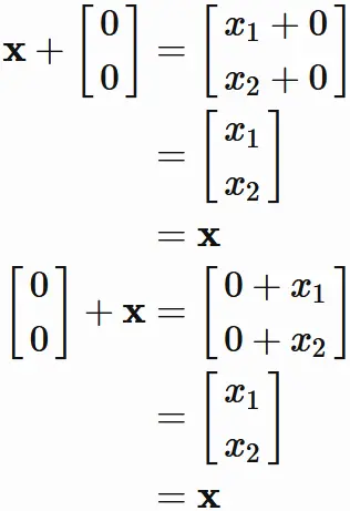
であるので、 $(\mathrm{I}.3)$ は満たされる。 $\mathbf{R}^2$に属する
は、 任意の $\mathbf{x} \in\mathbf{R}^2$ に対して、
を満たすので、 零ベクトルである。 すなわち、
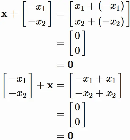
である。 よって、$\mathbf{R}^2$ には $(\mathrm{I}.4)$ を満たす $\mathbf{0}$ が存在する。 任意の $\mathbf{x} \in \mathbf{R}^2$ に対して、
は、 $\mathbf{R}^2$ に属し、
を満たすので、 $\mathbf{x}$ の逆ベクトルである。 すなわち、 任意の $\mathbf{x} \in \mathbf{R}^{2}$ と $\alpha \in \mathbf{R}$ に対して $(\mathrm{I}.5)$ を満たすベクトルが存在する。
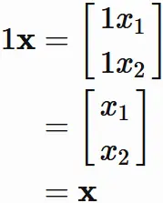
  任意の $\mathbf{x} \in \mathbf{R}^{2}$ に対して
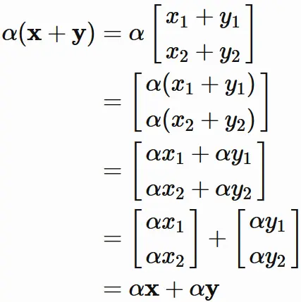
であるので、 $(\mathrm{II}.1)$ は満たされる。 任意の $\mathbf{x},\mathbf{y} \in \mathbf{R}^2 $ と任意の $\alpha \in \mathbf{R}$ に対して、
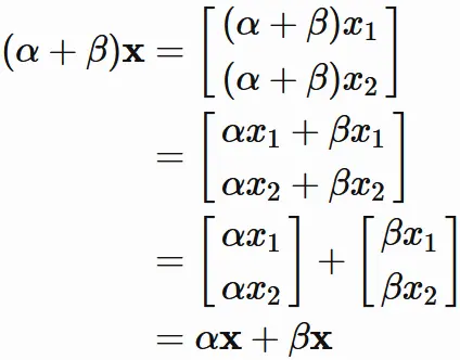
であるので、 $(\mathrm{II}.2)$ は満たされる。 任意の $\mathbf{x} \in \mathbf{R}^2 $ と任意の $\alpha, \beta \in \mathbf{R}$ に対して、
であるので、 $(\mathrm{II}.3)$ は満たされる。 また、
であるので、 $(\mathrm{II}.4)$ は満たされる。 最後に、
であるので、 $(\mathrm{II}.5)$ は満たされる。
  以上から、加法 とスカラー倍 をそれぞれ $(2.1)$ と $(2.2)$ と定義した $\mathbf{R}^{2}$ はベクトル空間を成す。



$(2)$ 任意の $\mathbf{x} \in R_{+}^{2}$ には逆が存在しない。 すなわち、
を満たす $ \mathbf{x}' $ は存在しない。 例えば、
の逆ベクトルは
と考えたくなるが、 これは $\mathbf{x} \in R_{+}^{2}$ に属さない (負の成分であるから)。 したがって、 $R_{+}^{2}$ はベクトル空間を成さない。

零ベクトルは唯一つ
  零ベクトル $(\mathrm{I}.4)$ は、 ベクトル空間 $V$ の中で唯一つのベクトルである。
証明
  零ベクトルが二つ存在するとし、 $\mathbf{0}$ と $\mathbf{0}'$ と表す。 $\mathbf{0}$ が 零ベクトルであることから、 $(\mathrm{I}.4)$ より、 任意の $\mathbf{x}\in V$ に対して、
が成り立つ。 $\mathbf{x}=\mathbf{0}'$ の場合にも成り立つので、
$$ \tag{3.1} $$ を得る。同じように、 $\mathbf{0}'$ も零ベクトルであるので、 任意の $\mathbf{x}\in V$ に対して、
が成り立つ。 $\mathbf{x}=\mathbf{0}$ の場合にも成り立つので、
$$ \tag{3.2} $$ を得る。 以上の $(3.1)(3.2)$ と $(\mathrm{I}.1)$ から、
を得る。 これは、二つの零ベクトル $\mathbf{0}$ と $\mathbf{0}'$ が同一のベクトルであることを表している。 したがって、零ベクトルは唯一つである。

逆ベクトルは唯一つ
  ベクトル空間の定義 $(\mathrm{I}.5)$ より、任意の $\mathbf{x} \in V$ に対して
逆ベクトル
$$ \tag{4.1} $$ を満たす $\mathbf{x}'$ が存在する。 このような $\mathbf{x}'$ が唯一つである (下で証明) 。 これを逆ベクトルといい、
逆ベクトル
と表すことにすると、 $(4.1)$ は
逆ベクトル
$$ \tag{4.2} $$ と表される。加えて、
逆ベクトル
と略記するルールを用いると、 $(4.2)$ は
逆ベクトル
と表される。
証明
  任意の $\mathbf{x} \in V$ に対して、 逆ベクトル ($(4.1)$ を満たすベクトル) が二つあるとする。 その二つの逆ベクトルを $\mathbf{x}'$ , $\mathbf{x}''$ と表すことにすると、
逆ベクトル
が成り立つ。 これらと $(\mathrm{I}.4)$$(\mathrm{I}.3)$ から
逆ベクトル
が成り立つ。 これは、二つのベクトル $\mathbf{x}'$ と $\mathbf{x}''$ が同一のベクトルであることを表している。 したがって、逆ベクトルは唯一つである。

基本定理
  ベクトル空間 $V$ には、次の定理が成立する。

$(1)$ 任意の $\alpha \in \mathbf{R}$ に対して、
$(2)$ 任意の $\mathbf{x} \in V$ に対して、
$(3)$ 任意の $\mathbf{x} \in V$ に対して、
ここで $\mathbf{0}$ と $-\mathbf{x}$ はそれぞれ $V$ の零ベクトル逆ベクトルである。
証明
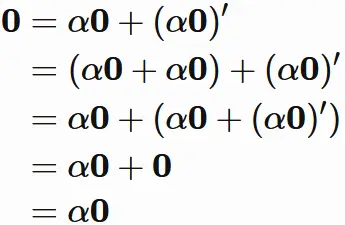
$(1)$   ベクトル空間の定義 $(\mathbf{I}.4)$ $(\mathbf{II}.2)$ より、
が成り立つ。 $\alpha \mathbf{0}$ の逆元を $(\alpha \mathbf{0})'$ とすると、 $(\mathbf{I}.5)$ より、
が成り立つ。 これらと $(\mathbf{I}.3)$ $(\mathbf{I}.4)$ から
を得る。


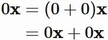
$(2)$   $(\mathbf{II}.3)$ より、
が成り立つ。 $0 \mathbf{x}$ の逆元を $(0 \mathbf{x})'$ とすると、 $(\mathbf{I}.5)$ より、
が成り立つ。 これらと $(\mathbf{I}.3)$ $(\mathbf{I}.4)$ から
を得る。


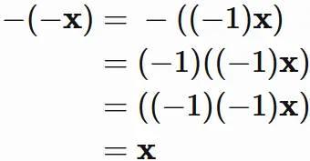
$(3)$   任意の $\mathbf{x} \in V$ に対して、 $(\mathbf{II}.5)$ $(\mathbf{II}.3)$ $(2)$ より、
が成り立つ。 同じように、
が成り立つ。 これらより、 $ (-1)\mathbf{x} $ は $\mathbf{x}$ の逆ベクトルである。 すなわち、
である。

諸性質
    ベクトル空間 $V$ には、次の性質がある。

$(\mathrm{a})$ 任意の $\mathbf{x} \in V$ に対して、
$(\mathrm{b})$ $\mathbf{x} \in V$ と $\alpha \in \mathbf{R}$ に対して、
$(\mathrm{c})$ $\mathbf{x}, \mathbf{y} \in V$ と $\alpha, \beta \in \mathbf{R}$ に対して、

証明
$(\mathrm{a})$   定理 (3) と定義 $(\mathrm{II}.4)$ より、
が成り立つ。


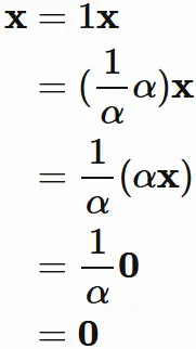
$(\mathrm{b})$   定義 $(\mathrm{II}.5)$ $(\mathrm{II}.4)$定理 (1) から、 $\alpha \neq 0$ である場合、
が成り立つ。 したがって、
である。


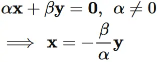
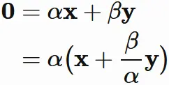
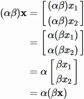
$(\mathrm{c})$   定義 $(\mathrm{II}.2)$ から、 $\alpha \neq 0 $ であるので、
である。これと $(\mathrm{b})$ より、
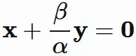
$$ \tag{6.1} $$ である。 $(\mathrm{I}.2)$ から
$$ \tag{6.2} $$ である。 $(6.1)$ と $(6.2)$ は、 $x$ が $ \frac{\beta}{\alpha}\mathbf{y} $ の逆ベクトルであることを表している。 すなわち、
である。