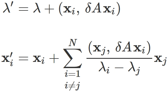
摂動論による固有値と固有ベクトルの近似解  

  行列 $A$ の固有値 $\lambda_{i}$ と固有ベクトル $\mathbf{x}_{i}$ が既に分かっているとき、 $A$ と僅かに異なる行列 $A + \delta A$ の固有値 $\lambda_{i}'$ と固有ベクトル $\mathbf{x}_{i}'$ は、 それぞれ
固有値問題の摂動論
と近似的に表される。
  ただし、 $A$ は 固有値の異なる固有ベクトルが直交し、 固有ベクトルが正規直交基底を成す行列であるとする(例えば正規行列が典型的な例である)。 また、 $A$ のそれぞれの固有値の重複度が $1$ である(縮退がない)ものとする。

  解説

 
準備1:   固有値と固有ベクトル
  $N$ 次正方行列 $A$ の固有値 $\lambda_{i}$ ($i=1,2, \cdots, N$) に対応する固有ベクトルを $\mathbf{x}_{i}$ と表す。
また、 それぞれの固有値の重複度が $1$ であり、 すなわち、
であり、 固有値の異なる固有ベクトルは直交し、 固有ベクトルが正規直交基底を成すものとする。 すなわち
が $(i,j=1,2,\cdots, N)$ に対して成り立つものとする。 ここで $\delta_{ij}$ はクロネッカーのデルタである。
  $(3)$ の条件を満たす代表的な行列は正規行列であり、 この中には実対称行列エルミート行列などよく現れる行列が含まれる。
準備2:   便宜上必要な固有ベクトルの表現
  行列 $A$ の固有値と固有ベクトル $(1)$ が既に分かっているときに、 それとは僅かに異なる行列 $A + \delta A$ の固有値と固有ベクトルを近似的に求めるのが固有値問題の摂動論であるが、 ここでは、 そのための便宜上の準備を行う。
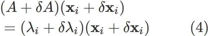
  $A + \delta A$ の固有値と固有ベクトルをそれぞれ $\lambda_{i} + \delta \lambda_{i}$ と $\mathbf{x}_{i} + \delta \mathbf{x}_{i}$ と表す。 このとき、
である。
  ここで $\delta \lambda_{i}$ は、 $A$ の固有値と $A + \delta A$ の固有値との差分であるが、 行列の差分 $\delta A$ が $0$ に近いほど、$0$ に近づくという性質を持つ。 すなわち、
が成り立つ (補足を参考)。
  同じように $\delta \mathbf{x}_{i}$ は、 $A$ の固有ベクトルと $A + \delta A$ の固有ベクトルとの差分であるが、 行列の差分 $\delta A$ が $0$ に近いほど、$0$ に近づくという性質を持つ。 すなわち、
が成り立つ。
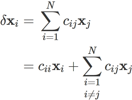
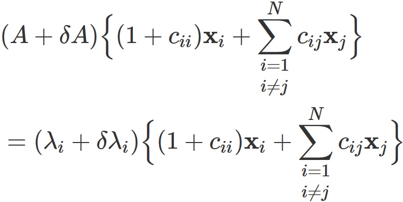
  ところで、 $\{ \mathbf{x}_{i} \}$ は正規直交基底を成すので、 任意のベクトルをそれらの線形結合によって表すことができる。 したがって、 $\delta \mathbf{x}_{i}$ を
と表すことができる。 ここで $c_{ij}$ は線形結合の係数であり、 $(3)$ により、
を満たすので、 $\delta \mathbf{x}_{i}$ が $0$ に近づけば近づくほど、 各係数 $c_{ij}$ もまた $0$ に近づく。 すなわち、
が成り立つ。 これと $(6)$ により、
が成り立つことが分かる。
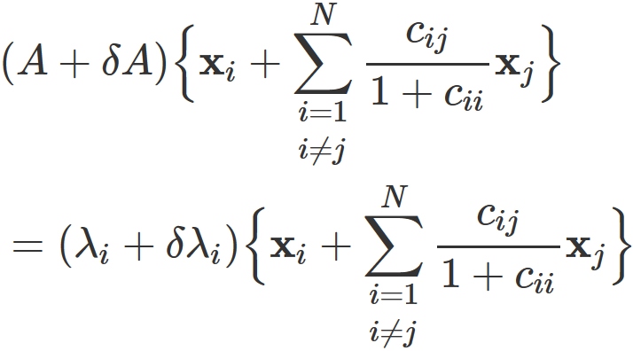
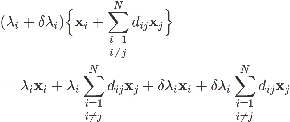
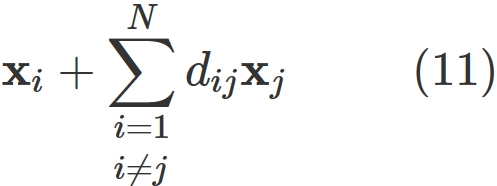
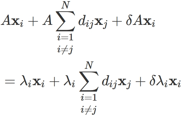
  $(4)$ を
と表し、 $(7)$ に代入すると、
となるが、 $(8)$ により、 十分に小さい $\delta A$ に対しては、
であるので、 両辺を $1+c_{ii}$ で割ると、
という式を得る。 ここで、
と置くと、 上の式は
と表される。 これは ベクトル
が $A + \delta A$ の固有ベクトルであることを表している。 また $(8)$ と $(9)$ により、 係数 $d_{ij}$ もまた $\delta A$ を $0$ に近けるほど $0$ に近づくという性質を持つ。 すなわち、
が成り立つ。
  以下では、 $(5)$ と $(12)$ の性質を利用し、 固有値問題 $(10)$ を近似的に解く方法(摂動論)を述べる。
摂動論
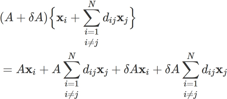
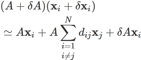
$(10)$ の左辺は
と展開されるが、 $(12)$ により、 $\delta A$ が十分に小さい場合には 最後の項が他の項と比較して小さくなる (2次の微小項)。 そこでこの項を省略し、 左辺を
と近似する。
  一方で $(10)$ の右辺は、
と展開されるが、 $(5)$ と $(12)$ により、 $\delta A$ が十分に小さい場合には 最後の項が他の項と比較して小さくなる (2次の微小項)。 そこでこの項を省略し、
と近似する。
  以上から $(10)$ は近似的に
と表される。
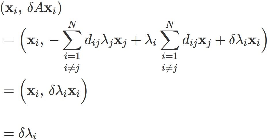
  この式と $(1)$ から、
を得る。
  これと $(3)$ により、
と $\delta \lambda$ が求まったので、 固有値は、
である。
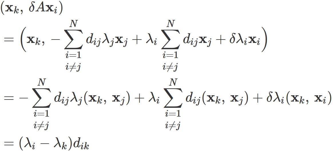
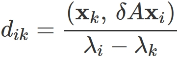
  一方で、 $(13)$ と $(3)$ により、$i \neq k$ の場合、
となるが、 $(2)$ の仮定(縮退なし)が成り立つ場合には、
と $d_{ik}$ が求まる。。
  これを $(11)$ に代入すると、 固有ベクトルが以下のように求まる。
補足:   行列の変化に対する固有値の変化
  $A$ の固有ベクトルと固有値とは、
を満たす
のベクトル $\mathbf{x}$ と値 $\lambda$ である。 上の式を
と表すと、 同次連立一次方程式 (右辺が $0$ の連立一次方程式) になる。
  一般に同次連立一次方程式が $\mathbf{x} \neq 0$ の解を持つこと、 係数行列の行列式が $0$ であることが同値であることが知られているので、
を満たす $\lambda$ が行列 $A$ の固有値である。 この方程式を固有方程式と呼ぶ。
  行列式の定義から分かるように、 $A$ が $N$ 次正方行列である場合、 固有方程式は $N$ 次方程式である。 従って、固有方程式を
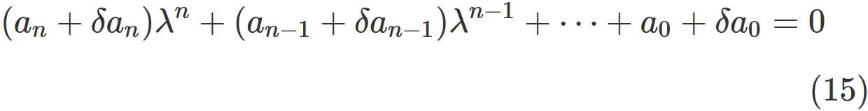
と表すことができる。
  ここで係数 $a_{i}$ は、 行列 $A$ の各成分の多項式で表される (行列式の定義を参考) 。 したがって、 $A$ を少しだけ変化させると、係数も少しだけ変わる。 すなわち、 $A$ と少しだけ異なる行列 $A + \delta A$ に対する固有多項式
と表したとき、
が成り立つ。
  ところで、 $N$ 次方程式の解は係数を僅かに変化されると、 解も僅かに変化することが知られている。 $(14)$ の解と $(15)$ の解の違いを $\delta \lambda$ とすると、 これらはそれぞれの方程式の係数が等しくなる極限で
が成立する。 以上から、
が成り立つことが分かる。 すなわち、 行列 $A$ と少しだけ異なる行列 $A + \delta A$ の固有値は、 互いの違い $\delta A$ を $0$ に近づけると、 固有値の違い $\delta \lambda$ も $0$ に近づく。
  同様の性質が固有ベクトルにもある。