連立一次方程式を掃き出し法で解く6つの例題

解が唯一つ存在する場合
- 例 1
- 例 2

解が無数に存在する場合(不定)
- 例 1
- 例 2

解が存在しない場合(不能)
- 例 1
- 例 2
- 補足
解が唯一つ存在する場合 1
  次の連立一次方程式
$(1)$
連立一次方程式を掃き出し法で解く例題 解が唯一つの場合1
の解を掃き出し法で求めよ。
解答例
  連立一次方程式
の拡大係数行列は、
拡大係数行列
である。 この行列を行基本変形によって簡約化すると、
である。 これより、
を得る。このように $(1)$ の解は一意に定まる (補足参)。

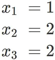
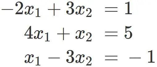
解が唯一つ存在する場合 2
  連立一次方程式
$(2)$
の解を掃き出し法で求めよ。
解答例
  連立一次方程式
の拡大係数行列は、
である。 この行列を行基本変形によって簡約化すると、
である。 これより、
を得る。 $(2)$ の解はただ一つである (補足参)。

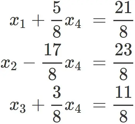
解が無数に存在する場合(不定) 1
  連立一次方程式
$(3)$
の解を掃き出し法で求めよ。
解答例
  連立一次方程式
の拡大係数行列は、
である。 この行列を行基本変形によって簡約化すると、
である。これより、
を得るので、$(3)$ の解は、
と表される。 $x_{4}$ がどんな値であってもよいので、 解には任意性がある。すなわち、解は唯一つではない (補足参)。
  例えば、$x_{4}=1$ の場合には、 $x_{1} = 2$、$x_{2} = 5$、$x_{3}=1$ であり、 一方で、$x_{4} = 9$ の場合には、 $x_{1} = -3$、$x_{2} = 22$、$x_{3}=-2$ である。 これらの例の両方が $(3)$ の解であることは、 直接代入することによって確かめられる。

解が無数に存在する場合(不定) 2
  連立一次方程式
$(4)$
の解を掃き出し法で求めよ。
解答例
  連立一次方程式
の拡大係数行列は、
である。 この行列を行基本変形によって簡約化すると、
である。 これより、
を得るので、$(4)$ の解は、
と表される。 $x_{3}$ と $x_{4}$ がどんな値であってもよいので、 解には任意性がある。すなわち、解は唯一つではない (補足参)。
  例えば、$x_{3}=1$、$x_{4}=-1$ の場合には、 $x_{1} = 3/5$、$x_{2} = 9/5$、であり、 一方で、$x_{3}=-1$、$x_{4}=2$ の場合には、 $x_{1} = -2/5$、$x_{2} = -11/5$ である。 これらの例の両方が $(1)$ の解であることは、 直接代入することによって確かめられる。
  このように、変数の数と式の数が等しくても、解が唯一つに定まるとは限らない。

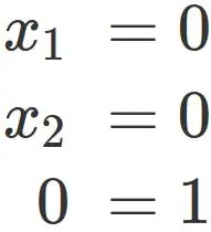
解が存在しない場合(不能) 1
  連立一次方程式
$(5)$
の解を掃き出し法で求めよ。
解答例
  連立一次方程式
の拡大係数行列は、
である。 この行列を行基本変形によって簡約化すると、
である。これより、
を得るが、第 $3$ 式が矛盾する (補足参)。
  従って、$(5)$ の解は存在しない。 直感的には、$(5)$ で定義された三本の直線が同時に交わる点が存在しないことを表している。

解が存在しない場合(不能) 2
  連立一次方程式
$(6)$
の解を掃き出し法で求めよ。
解答例
  連立一次方程式
の拡大係数行列は、
である。 この行列を行基本変形によって簡約化すると、
である。これより、
を得るが、第 $3$ 式が矛盾する (補足参)。
  従って、$(6)$ の解は存在しない。 このように連立一次方程式では、変数の数と式の数が等しくても解を持たないことがある。

補足:
  解を持つための必要十分条件は 係数行列のランクと拡大係数行列のランクが等しいことであり、 解が唯一つだけになる必要十分条件は 係数行列のランクが係数行列の列の数に等しいことである。

  問題 $(1)$ を見てみると、 拡大係数行列のランクが $4$ であり、係数行列のランクも $4$ であるため、 拡大係数行列のランクと係数行列のランクが等しい。 よって、$(1)$ は解を持つ。
  また、係数行列の列の数が $4$ であるので、 係数行列の列の数が拡大係数行列のランクに等しい。 よって、$(1)$ は唯一つの解を持つ。

  問題 $(2)$ を見てみると、 拡大係数行列のランクが $3$ であり、係数行列のランクも $3$ であるため、 拡大係数行列のランクと係数行列のランクが等しい。 よって、$(2)$ は解を持つ。
  また、係数行列の列の数が $3$ であるので、 係数行列の列の数と拡大係数行列のランクに等しい。 よって、$(2)$ は唯一つの解を持つ。

  問題 $(3)$ を見てみると、 拡大係数行列のランクが $3$ であり、係数行列のランクも $3$ であるため、 拡大係数行列のランクと係数行列のランクが等しい。 よって、$(3)$ は解を持つ。
  また、係数行列の列の数が $4$ であるので、 係数行列の列の数と拡大係数行列のランクが等しくない。 よって、$(3)$ は無数の解を持つ (解が不定である)。

  問題 $(4)$ を見てみると、 拡大係数行列のランクは $2$ であり、係数行列のランクも $2$ であるため、 拡大係数行列のランクと係数行列のランクが等しい。 よって、$(4)$ は解を持つ。
  また、係数行列の列の数が $4$ であるので、 係数行列の列の数と拡大係数行列のランクが等しくない。 よって、$(4)$ は無数の解を持つ (解が不定である)。

  問題 $(5)$ を見てみると、 拡大係数行列のランクが $3$ であり、係数行列のランクが $2$ であるため、 拡大係数行列のランクと係数行列のランクが等しくない。 よって、$(5)$ は解を持たない(不能)。

  問題 $(6)$ を見てみると、 拡大係数行列のランクが $3$ であり、係数行列のランクが $2$ であるため、 拡大係数行列のランクと係数行列のランクが等しくない。 よって、$(6)$ は解を持たない(不能)。