コレスキー分解とは?

コレスキー分解 (定義)
  行列 $A$ を下三角行列 $C$ とその転置行列の $C^{T}$ の積に分解すること、すなわち、
と分解することを、 コレスキー分解 (cholesky decomposition) という。
具体例
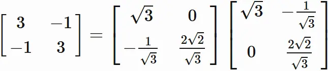
  次の行列
$$ \tag{1.1} $$ をコレスキー分解すると、
である。
解答例
  下三角行列 $C$ を
と表すと、
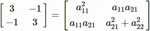
$$ \tag{1.2} $$ である。 $A= CC^{T}$ とすると、 $(1.1)$ と $(1.2)$ から、
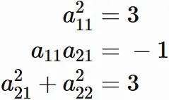
である。 各成分を比べると、
である。第一式から $a_{11}=\pm \sqrt{3}$ である。$a_{11}=+ \sqrt{3}$ と選ぶと、 第二式から $a_{21} = -\frac{1}{\sqrt{3}}$ である。第三式から $a_{22}^2 = \frac{2\sqrt{2}}{\sqrt{3}}$ である。 $a_{22} = + \frac{2\sqrt{2}}{\sqrt{3}}$ を選択すると、
を得る (別の解もある)。 $ A = CC^{T} $ が成り立つこと、 すなわち、
は直接の計算によって確かめられる。

コレスキー分解可能性
  行列 $A$ が正定値行列であるならば、 コレスキー分解可能である。
証明
  $A$ を $n\times n$ の正方行列とし、帰納法を用いて証明する。
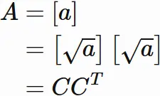
$n=1$ の場合、 $A$ は正定値行列であるので、 唯一つの成分が正の値を持つ。 すなわち、
と表せる。ここで、
とすると、
であるので、
と表せる。よって、 $A$ はコレスキー分解可能である。
  $n=k$ の場合にコレスキー分解可能であるとする。 $(k+1) \times (k+1)$ 行列 $A$ を次のように分割する。
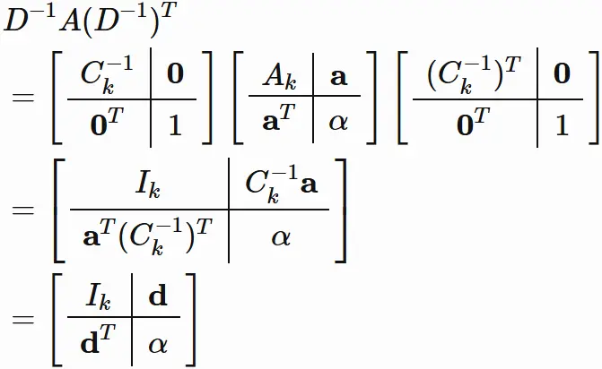
ここで $A_{k}$ は $k \times k$ の行列、 $\mathbf{a}$ は $n \times 1$ の行列、 $\mathbf{b}$ は $1 \times n$ の行列、 $\alpha$ は $1 \times 1$ の行列である。 $A$ は正定値行列であるので、 実対称行列である。 したがって、 $\mathbf{b} = \mathbf{a}^{T} $ が成り立つ。 そこで、$A$ を
$$ \tag{2.1} $$ と表す。 $A$ が正定値行列であるので、 $A_{k}$ もまた正定値行列である (証明は「小行列もまた半正定値行列」を参考)。 よって、$A_{k}$ はコレスキー分解可能であるので、
$$ \tag{2.2} $$ を満たす下三角行列 $C_{k}$ が存在する。 これを用いて、 $(k+1)\times (k+1)$ 行列
を定義する。ここで $\mathbf{0}$ は 全ての成分が $0$ である $n \times 1$ の行列である。 $D$ の逆行列は
である。 なぜなら、 $D^{-1}D=I$ が成り立つ。 ここで $I$ は単位行列である。 また、 $C_{k}$ には逆行列 $C_{k}^{-1}$ が存在する(「分解後の逆行列」を参考)。 これと $(2.1)$ と $(2.2)$ から
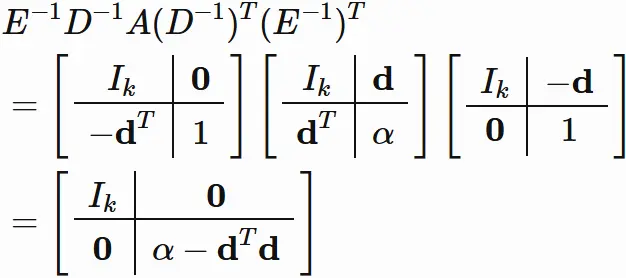
$$ \tag{2.3} $$ が成り立つ。ここで $C_{k}^{-1}\mathbf{a} = \mathbf{d}$ とした。 また、
とすると、
である (なぜなら $E^{-1}E=I$ が成り立つ)。これと $(2.3)$ より、
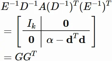
$$ \tag{2.4} $$ である。左辺は $F=(E^{-1}D^{-1})^{T}$ とすると、
と表されることから分かるように、 $A$ と合同な行列である。 一般に正定値行列と合同な行列もまた正定値行列である (「半正定値行列の合同な行列も半正定値」を参考)。 よって、 $(2.4)$ の右辺は正定値行列である。 また、 $(2.4)$ の右辺は対角行列でもある。 対角行列の固有値は対角成分そのものである。 そして、正定値行列の固有値は正 (「半正定値行列の固有値」を参考) である。 以上から $(2.4)$ の右辺の対角成分はすべて正の値である。よって、
が成り立つ。これより、
と定義すると、 $(2.4)$ より、
である。これと転置行列の積の性質から
である。$D$ と $E$ と $G$ は下三角行列である。 下三角行列の積もまた下三角行列であるので、 $DEG$ は下三角行列である。 したがって、$A$ はコレスキー分解された。
  以上から帰納法によって、 正定値行列 $A$ がコレスキー分解であることが示された。

分解後の逆行列
  正定値行列をコレスキー分解した行列は正則行列である。 すなわち、
の $C$ には逆行列 $C^{-1}$ が存在する。
証明
  $A$ の行列式は、 積の行列式の性質転置行列の行列式の性質を用いると、
である。 $A$ は正定値行列であるから、
である (「半正定値行列の行列式」を参考) 。 よって
である。 行列式が $0$ でない行列には逆行列 $C^{-1}$ が存在するので、 $C$ には逆行列が存在する。