行列の等号の意味と同値条件

定義
  行列 $A$ と $B$ の行の数と列の数がともに等しく、 各成分の値が全て等しいときに
と表される。
  よって、 $A$ と $B$ がともに $m \times n$ のであり、 $ A=B $ であるならば、
が全ての $i= 1,2,\cdots,m$ と $j = 1,2,\cdots,n$ に対して成立する。 ここで $A_{ij}$ と $B_{ij}$ はそれぞれ行列 $A$ と $B$ の各成分である。
:
  行列 $A$ が
であるとき、
であるのならば、
である。
正規直交基底による表現
  正方行列 $A$ と $B$ が作用するベクトル空間の正規直交基底を $\{\mathbf{e}_{i} \}$ と表すとき、 、任意の $\mathbf{e}_{i}, \mathbf{e}_{j}$ に対して、
が成り立つならば、
である。

証明
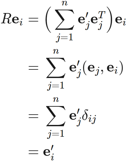
  基本ベクトル
は、
を満たすので、 $\{ \mathbf{e}'_{i} \}$ は正規直交基底を成す。 ここで、$\delta_{ij}$ はクロネッカーのデルタであり、 $(\cdot, \cdot)$ はベクトル同士の内積を表す。 すなわち、
である。
  $A$ と $B$ を任意の $n$ 次正方行列とし、
と表すと、 各成分は $\{ \mathbf{e}'_{i} \}$ を使って、
と表される ($i,j = 1,2,\cdots,n $)。
  したがって、
が成り立つ。
  ここで $\mathbf{e}_{1}, \mathbf{e}_{2}, \cdots, \mathbf{e}_{n}$ を $A$ と $B$ が作用する $n$ 次元ベクトル空間の任意の正規直交基底とする。 すなわち、
が成り立つするものとする。 また行列 $R$ を
と定義する。
  行列 $R$ は $\mathbf{e}_{i} $ を $\mathbf{e}'_{i}$ に変換する行列である。
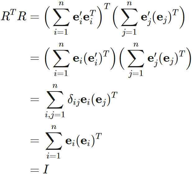
  また、転置行列の性質と $\{\mathbf{e}'_{i} \}$ が正規直交基底を成すことから、
である ( $R$ は直交行列である。)。
  これらと 行列の転置の性質から、
が成り立つ。 同様に
も成り立つ。 これらより、
であることが分かる。 したがって、
である。
  また、 $ R A R^{T}=R B R^{T} $ であるならば
であるので、 次の関係を得る。すなわち、
である。

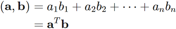
内積による表現
  任意のベクトル $\mathbf{x}$ と $\mathbf{y}$ に対して、 正方行列 $A$ と $B$ が
を満たすならば
である。
証明
  $n$ 次正方行列 $A$ と $B$ が作用するベクトル空間の 正規直交基底
と表す。
  仮定により、 任意のベクトル $\mathbf{x}$ と $\mathbf{y}$ に対して、行列 $A$ と $B$ が
を満たすので、 $\mathbf{x} = \mathbf{e}_{i}$, $\mathbf{y} = \mathbf{e}_{j}$ の場合にも
が成り立つ $(i,j = 0,1,\cdots, n)$ 。
  したがって、上の性質から
である。

ベクトルに作用させた表現
  任意のベクトル $\mathbf{x}$ に対して、正方行列 $A$ と $B$ が
を満たすならば
である (補足)。
証明
  $A$ と $B$ を $n$ 次正方行列とする。また、 任意の正規直交基底を $\{ \mathbf{e}_{i} \}$ $(i= 1,2,\cdots,n)$ と表す。
  仮定により、 任意のベクトル $\mathbf{x}$ に対して、 行列 $A$ と $B$ が
を満たすので、 $\mathbf{x} = \mathbf{e}_{j}$ の場合であっても
が成り立つ。 ($j=1,2,\cdots,n$)。
  これより、
が成り立つので、上の性質から
である。

補足:
  上の関係は正方行列に対するものであったが、 正方行列でなくても同じことが成り立つ。 すなわち、 任意の型の行列 $A$ と $B$ ( $A$ と $B$ は同一の型) が作用するベクトル空間の任意のベクトル $\mathbf{x}$ に対し、
が成り立つならば、
である。
  この関係は逆も成り立つ。 すなわち、
であるならば ($A$ と $B$ のすべての成分が等しいのであるならば)、 任意のベクトル $\mathbf{x}$ に対し
が成り立つ。
  それゆえ、 この関係を行列が等しいことの定義として用いてもよい。