余弦定理について

余弦定理の図
余弦定理 (証明)
  $\triangle OAB$ の辺 $OA$, $OB$, $AB$ の長さをそれぞれ $a$, $b$, $c$ とする。また、 $\angle AOB = \theta$ とする (下図)。
余弦定理
このとき、次の関係が成り立つ。
この関係を余弦定理 (Law of cosines) という。
証明
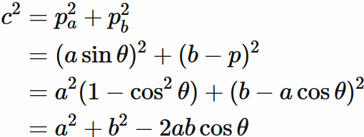
  点 $A$ から辺 $OB$ に下ろした垂線の足 (投影点) を $P$ とする。 また、$OP$, $PA$, $PB$ の長さをそれぞれ $p$, $p_{a}$, $p_{b}$ と表す (下図)。
余弦定理の図
$\triangle AOP$ に着目すると、三角関数の定義から
である。また明らかに
である。 $\triangle APB$ に着目すると、三平方の定理から
である。以上から、
を得る。

例題1
  $\triangle OAB$ の辺 $OA$, $OB$, $AB$ の の長さをそれぞれ $4$, $3$, $5$ とする (下図)。
余弦定理の例
このとき、余弦定理を用いて $\angle AOB $ を求めよ。
証明
  $\angle AOB = \theta$ と置く。 余弦定理より、
が成り立つ。 これより、
であるので、
である (ここで $\theta$ が三角形の内角であるので、$0 \lt \theta \lt \pi$ であることを用いた)。

例題2
  $\triangle OAB$ の辺 $OA$, $OB$ の長さをそれぞれ $6$, $8$ とし、$\angle AOB = \frac{\pi}{3}$ であるとする (下図)。
余弦定理の例2
このとき、余弦定理を用いて 辺 $ AB $ の長さを求めよ。
証明
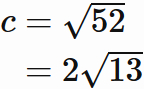
  辺 $AB = c$ とすると、 余弦定理より、
が成り立つ。 これより、
である。

ベクトルを用いた余弦定理
  $\triangle OAB$ のベクトル $\vec{OA}$, $\vec{OB}$ をそれぞれ、
とし、$\angle AOB = \theta$ とする。
余弦定理 (ベクトル)
このとき、余弦定理
と表される。ここで $\| \cdot \|$ はノルムを表す記号である。
証明
    $A$ から 直線 $OB$ に下した垂線の足 (投影点) を $C$ とすると、 三角関数の定義から、辺 $OC$ と 辺 $AC$ の長さは、それぞれ
$$ \tag{1} $$ と表される。 $B$ から $A$ に向かうベクトルが $\mathbf{a}-\mathbf{b}$ であることから、 辺 $AB$ の長さの二乗は、
$$ \tag{2} $$ である。 一方、 辺 $AB$ の長さの二乗は 三平方の定理 と $(1)$ によって、
とも表される。 ここで、 $(1)$ から $CB$ の長さが、
であることから、
$$ \tag{3} $$ である。 以上の $(2)$ と $(3)$ から、
$$ \tag{4} $$ を得る。
  見方を変えると、この関係は左辺の $\| \mathbf{a} - \mathbf{b} \|^2$ をノルムの定義内積のルールに従って展開したに過ぎない。 すなわち、
と $(4)$ が得られる。 最後の等号では内積とコサインの関係を用いた。