三角形の外接円とは?

外接円の存在
  任意の三角形には三頂点を通る円が存在する。 三頂点を通る円を外接円という。
三角形の外接円の存在

証明
  $\triangle{ABC}$ の辺 $AB$ の中点を $M_{AB}$ とし、 辺 $BC$ の中点を $M_{BC}$ とする。 また、 辺 $AB$ と辺 $BC$ の垂直二等分線の交点を $O$ とする。 このとき、
であるので、 $\triangle{O M_{AB} B}$ と $\triangle{O M_{AB} B}$ は合同な三角形である。 これより、
である。
  同様に $\triangle{O M_{BC} B}$ と $\triangle{O M_{BC} C}$ が合同であることから、
である。
  以上から
が成り立つので、 $O$ は三点 $A,B,C$ までの距離が等しい点である。 ゆえに、 $O$ を中心とする $A, B, C$ を通る円が存在する。

垂直二等分線の交点 = 中心 (外心)
  三角形の三辺の垂直二等分線の交点は、外接円の中心である。 この中心を外心という。
証明
  $\triangle{ABC}$ の辺 $AB$ の中点を $M_{AB}$ とし、 辺 $BC$ の中点を $M_{BC}$ とする。 また、 辺 $AB$ と辺 $BC$ の垂直二等分線の交点を $O$ とする。
  $O$ から辺 $CA$ に下した垂線の足を $M_{CA}$ とする (この時点では点 $M_{CA}$ が辺 $CA$ を二分することは示されていない)。
垂直二等分線の交点 = 中心 (外心)

  $O$ は外接円の中心であるので (外接円の存在の証明を参考) 、
が成り立つ。 これより、 $\triangle{O M_{CA} A}$ と $\triangle{O M_{CA} C}$ が合同であることが分かるので、
が成り立つ。 すなわち、線分 $OM_{CA}$ は 辺 $CA$ の垂直二等分線である。
  したがって、 三角形の三辺の垂直二等分線は一点で交わり、 その交点が外接円の中心である。

補足:
  三角形の外接円の応用例としてよく知られているのは、 計算幾何学の分野に現れるポロノイ図である。
  ボロノイ図は生物の縄張りをシミュレーションしたり、 点群と内接する最大円を求める際に使われるなど応用例が多岐にわたる。
三角形の外接円とポロノイ図
そのボロノイ図を描くときに基本となる定理が、外接円に関する諸定理である。 すなわち、三角形の三辺の垂直二等分線は一点で交わり、 その交点から三頂点までの距離が全て等しいという性質が用いられる。
接弦定理
  下図は $\triangle ABC$ とその外接円と接線である。ここで
が成り立つ。これを接弦定理 (alternate segment theorem) という。
接弦定理

証明
  下図を参考に証明を行う。
接弦定理の証明
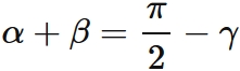
$\triangle ABC$ の外接円の中心を $O$ とする。 このとき、
であるため、
$$ \tag{1} $$ が成り立つ。 $\triangle OBC$ と $\triangle OCA$ と $\triangle OAB$ は二等辺三角形であるから、
$$ \tag{2} $$ が成り立つ。 三角形の内閣の和は $180^{\circ}$ であるから、
$$ \tag{3} $$ が成り立つ。 $(2)(3)$ より、
$$ \tag{4} $$ が成り立つ。よって、 $(1)(4)$ より
を得る。

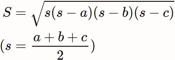
半径と面積の関係
  $ \triangle{ABC} $ の面積 $S$ とその外接円の半径 $R$ の間には
三角形の外接円の存在
の関係がある。
  ここで $a,b,c$ は それぞれ $ \triangle{ABC} $ の辺 $AB$ と $CA$ と $AB$ の長さである。
証明
  下図のように三角形 $ \triangle{ABC} $ を表す。
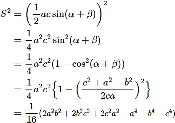
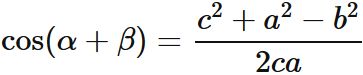
  はじめに三角形の内角の和が $\pi$ であることから、
が成り立つ。 これより、
$$ \tag{1} $$ である。
  また、$\triangle{OM_{CA}A}$ に着目すると、
であり、 $M_{CA}A = M_{CA}C$ であることから、
$$ \tag{2} $$ が成り立つ。
  以上の $(1)$ と $(2)$ を用いると、 $\triangle{ABC}$ の面積 $S$ は
と表されるので、 半径 $R$ と面積 $S$ の間には
の関係がある。

三角形の面積と外接円の半径
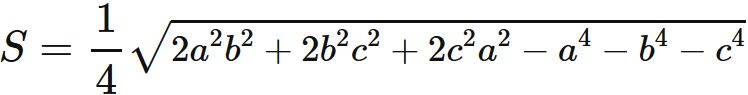
  $ \triangle{ABC} $ の面積 $S$ は各辺の長さ $a,b,c$ によって
各辺の長さで表した三角形の面積
と表される。
  これより、 外接円の半径 $R$ は
外接円の半径
である。
証明
  下図のように三角形 $ \triangle{ABC} $ を表す。
  $\triangle{ABC}$ の面積 $S$ が
であることと、 余弦定理
により、
が成り立つことを用いると、
と表される。 これより、
各辺の長さで表した三角形の面積
$$ \tag{1} $$ である。
  また、 半径 $R$ と面積 $S$ の関係
と $(1)$ から 半径を辺の長さによって
と表すことができる。
  このように外接円の半径は三辺の長さによって表される。

補足:
  外接円の半径 $R$ はヘロンの公式
半径 $R$ と面積 $S$ の関係
から求めることもできる。
外心の位置
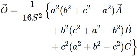
  $\triangle{ABC}$ の外接円の中心 (外心) の位置 $\vec{O}$ は、 各頂点位置 $\vec{A}$, $\vec{B}$, $\vec{C}$ によって、
と表される。
  ここで $a,b,c$ はそれぞれ辺 $BC$ と辺 $CA$ と辺 $AB$ の長さであり、 $S$ は三角形の面積である。
証明
  準備 :
  下図のように三角形 $ \triangle{ABC} $ を表す。
外心円の位置
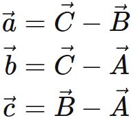
各頂点の位置ベクトルを $\vec{A}$, $\vec{B}$, $\vec{C}$ と表し、 $\vec{a}, \vec{b}, \vec{c}$ をそれぞれ $B$ から $C$ に向かうベクトル、 $A$ から $C$ に向かうベクトル、 $A$ から $B$ に向かうベクトルとする。 すなわち、
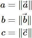
$$ \tag{1} $$ とする。また便宜上 $\vec{a}, \vec{b}, \vec{c}$ の長さ (ノルム) をそれぞれ
$$ \tag{2} $$ と表すことにする。
外心の位置
  $A$ から $O$ に向かうベクトル $\vec{AO}$ は、 $A$ から $B$ に向かうベクトル $\vec{c}$ と $A$ から $C$ に向かうベクトル $\vec{b}$ の線形結合で表せる。 すなわち、
$$ \tag{3} $$ と表せる。 また、 $A$ から $AB$ の中点 $M_{AB}$ に向かうベクトル $\overrightarrow{AM_{AB}}$ と、 $A$ から $AC$ の中点 $M_{CA}$ に向かうベクトル $\overrightarrow{AM_{CA}}$ はそれぞれ
である。 これらより、
$$ \tag{4} $$ である。
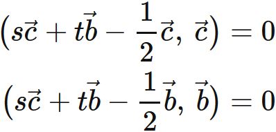
  ところで $M_{AB}O$ は $AB$ の垂直二等分線であるから、 $\overrightarrow{M_{AB}O}$ は $\vec{b}$ 直交する。 同様に $\overrightarrow{M_{CA}O}$ は $\vec{AC}$ 直交する。 したがって、
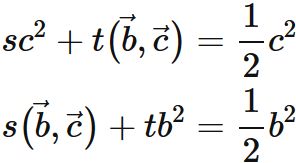
が成り立つ。 ここで $(\cdot, \cdot)$ はベクトル間の 内積である。 これらに $(4)$ を代入すると、
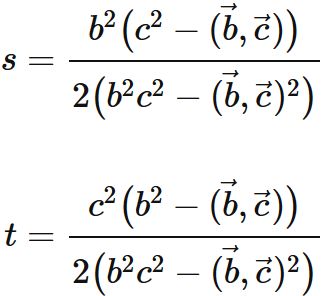
となるが、 内積の性質と $(2)$ を用いて整理すると、 $s$ と $t$ に関する連立一次方程式
となり、 これを解くと、
を得る。
  これを $(3)$ に代入すると、
となる。 これと $(1)$ により、 外心の位置 $\vec{O}$ は
と表される。 ここで、内積 $( \vec{b}, \vec{c})$ を 余弦定理によって
と表し、整理すると、
 
を得る。最後の等号では$\triangle{ABC}$ の面積 $S$ を用いた。