等速円運動とは? ~速度・加速度など~

等速円運動の図
等速円運動とは?
  $XY$ 平面上を運動する物体の位置を
と表すことにする。このとき、 時刻 $t$ のときの物体の位置が
$$ \tag{1} $$ と表される運動を等速円運動という。 ここで $r$ は円の半径であり、 $\omega$ は角速度である (角速度についてはこちらを参考)。
等速円運動の図

  より一般的には、等速円運動は
と表される。 $\theta$ は $t=0$ での $x$ 軸との成す角であり、 初期位相と呼ばれる。 したがって、 上式は 点 $(x_{0}, y_{0})$ を中心とし、 初期位相が $\theta$ の円運動である。
議論を簡潔にするため、 これ以降は原点を中心として初期位相が $0$ の場合 ($(1)$の場合) のみを考察対象とする。
速度
  $XY$ 平面上を運動する物体の速度を
と表すことにすると、 速度は位置の時間微分であるので、 等速円運動の場合、
$$ \tag{2} $$ である。 これより、 物体の速さ (速度の大きさ) $v$ は
である。 ここから等速円運動をする物体の速さが一定であることが分かる。
また、位置と速度の標準内積
であることから分かるように、 等速円運動では位置と速度がいつでも直交する
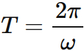
角速度と周期
角運動量と周期
  等速円運動の位置が
と表されることから分かるように、 角速度 $\omega$ は単位時間当たりの角度の変化量である。 したがって、円が一周する間にかかる時間 $T$ とすると、
が成り立つので、
である。$T$ を周期と呼ぶ。
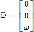
角速度ベクトル
  角速度 $\omega$ を三次元ベクトルで表し、 各種関係の記述に用いることがある。
  $XY$ 平面上の原点を中心とする等速円運動を 三次元空間 $XYZ$ 上のベクトルによって、
と表すことする。同じように速度を
と表すことにする。 ここで、 角速度ベクトル $ \vec{\omega} $ を角速度 $\omega$ を用いて、
と定義する。
  $(2)$ より、
が成り立つ。 ここで "$\times$" は外積を表す記号である。
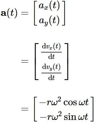
加速度
  物体の加速度を
と表すことにする。 加速度は速度の時間微分であるので、 $(2)$ より、
$$ \tag{3} $$ である。 物体の加速度の大きさ $a$ は
であり、時間に依存しない。
  また、 $(1)$ と $(3)$ から
が成り立つ。 これは、 物体の加速度が位置と反対向きを向くことを表している。 したがって、 等速円運動する物体は円の中心方向を向いた加速度を持つ(上図)。
  速度を三次元で表したときと同じように、 加速度を
と表すと、
が成り立つ。
運動方程式
  等速円運動では加速度が法線方向を向き、 大きさが時間に依らない。 したがって、 ニュートンの第二法則より、 等速円運動を成す力 $\mathbf{F}$ は、 $(3)$ より、
と表される。ここで $m$ は物体の質量である。