減衰振動の解の求め方

運動方程式
  速度に比例する抵抗力を受ける調和振動子系の運動方程式は、
速度に比例する抵抗力を受ける調和振動子系の運動方程式
と記述される(下図参考)。
減衰振動の図
ここで $m$ は質量、$k$ と $b$ は実定数であり、 $\ddot{x} = \frac{\mathrm{d}^2 x }{\mathrm{d} t^2 }$、 $\dot{x} = \frac{\mathrm{d} x }{\mathrm{d} t }$ である。
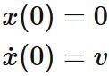
  以下では、この運動方程式の初期条件
のもとでの解を求める。 ただし、任意の $t$ に対して $x(t) = 0$ (常に静止している状態) ではないものと仮定する。
  運動方程式を書き換えると、
である。 これは定数係数の線形斉次微分方程式であり、
と置くと解が求まることが知られている。 このとき、
であるので、 運動方程式は
と表される。これを書き直すと、
であるが、 任意の $t$ に対して $x(t) = 0$ ではないという仮定から、 $x(t) \neq 0$ となる $t$ が存在するので、
が成り立つ。
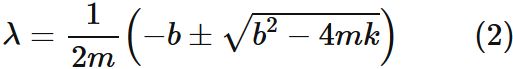
  この式は二次方程式であるため、 解が
と求まる。 この解は、平方根内の符号によって、次の三つの場合分けがされうる。
以下では、それぞれの場合に対する解を与え、 最後に三つの解の比較を行う。
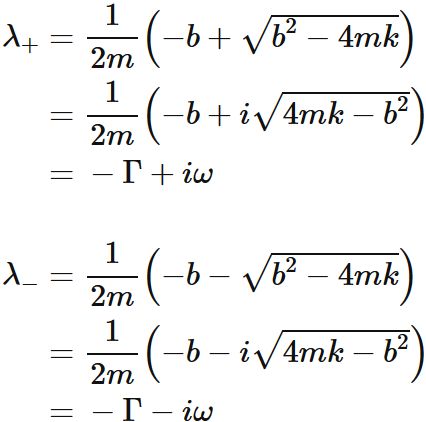
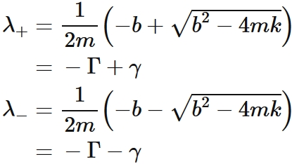
(A) $ \small \hspace{2mm} b^{2} \lt 4mk \hspace{2mm}$ の場合 (減衰振動)
  はじめに
と置き、 二次方程式 $(2)$ の二つの解 をそれぞれ
と表すと、
は、ともに $(1)$ の解である (実際に $(1)$ に代入すると確かめられる)。これらを特解という。
  $(1)$ の一般解は、 特解の線形結合で表されることが知られている。 すなわち、
が $(1)$ の一般解である。 ここで $C_{+}$ と $C_{-}$ は線形結合の係数である。
  この一般解を オイラーの公式
を用いて 書き換えると、
と表せる。
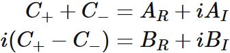
  ここで $C_{+} + C_{-}$ の実部を $A_{R}$、 虚部を $A_{I}$ と置き、また $i(C_{+} -C_{-})$ の実部を $B_{R}$、 虚部を $B_{I}$ と置くと、 すなわち、
と置くと、 一般解は、
と表される。
  また $x$ が物体の位置を表す物理量であるので、 解が実数であることを仮定すると、 任意の時刻 $t$ に対して一般解の虚部が $0$ になっていなくてはならない。 すなわち、
が成り立つ。 任意の $t$ に対して $e^{-\Gamma t } \neq 0$ であるので、
が成り立つ。 これが任意の時刻 $t$ について成り立つことから、
である (例えば $t=0$ から $A_{I}=0$ が求まり、$t=\pi/2$ から $B_{I}=0$ が求まる)。
  これより、物理的に許される解は、
と表される。 また、速度は
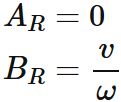
であるので、 初期条件 $x(0) = 0$ と $\dot{x}(0) = v$ を表すと、
である。 これより、
であるので、 物体の運動が
と表されることが分かる。 図で表すと、
である。 この運動を減衰振動と呼ぶ。
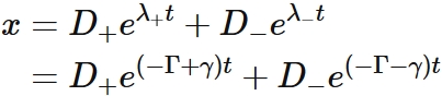
(B) $ \small \hspace{2mm} b^{2} \gt 4mk \hspace{2mm}$ の場合 (過減衰)
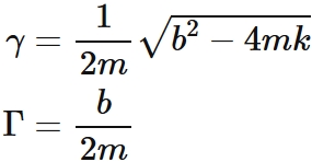
  はじめに
と置き、 二次方程式 $(2)$ の二つの解をそれぞれ
と表すと、
は、ともに $(1)$ の解である (実際に $(1)$ に代入すると確かめられる)。これらを特解という。
  $(1)$ の一般解は、 特解の線形結合で表されることが知られている。 すなわち、
が $(1)$ の一般解である。 ここで $D_{+}$ と $D_{-}$ は線形結合の係数である。
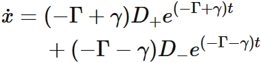
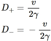
  これより、速度は
であるので、 初期条件 $x(0) = 0$ と $\dot{x}(0) = v$ を表すと、
である。 ここから
が導かれるので、 物体の運動が
と表されることが分かる。 図で表すと、
である。 この運動を過減衰と呼ぶ。
(C) $ \small \hspace{2mm} b^{2} = 4mk \hspace{2mm}$ の場合 (臨界振動)
  はじめに
と置くと、 二次方程式の解 $(2)$ の解は
であり、重解である。
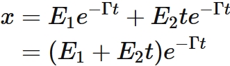
  この場合、 微分方程式 $(1)$ の一般解は、
となることが知られている。 ここで $E_{1}$ と $E_{2}$ は線形結合の係数である。
  これより、速度は
であるので、 初期条件 $x(0) = 0$ と $\dot{x}(0) = v$ を表すと、
である。 したがって
であるので、 物体の運動が
と表されることが分かる。 図で表すと、
である。 この運動を臨界減衰と呼ぶ。
まとめ
  以上の結果より、 速度に比例する抵抗力を受ける調和振動子系、
速度に比例する抵抗力を受ける調和振動子系の運動方程式
の初期条件
のもとでの解は、
である。 これらの3種類の運動のうち、物体が振動するものは $(\mathrm{A})$ の減衰振動のみである。 また、いずれの場合も十分に時間が経過すると $ (t \rightarrow +\infty) $、 $x=0$ に収束する。