磁場中の荷電粒子の運動とサイクロトロン振動数

各成分の運動方程式の導出
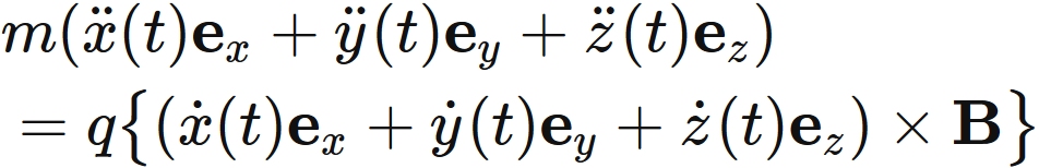
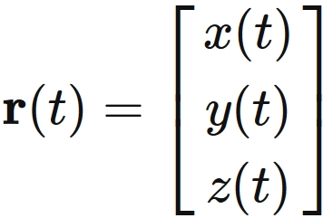
  質量 $m$ の荷電粒子が定磁場中を運動している。 粒子の位置を $\mathbf{r}(t)$ と表すとき、 運動方程式は、
である (電場なしのローレンツ力)。  ここで、 $q$ は粒子の持つ電荷量であり、 $\mathbf{B}$ は 一様な磁場である。 また、 $\dot{\mathbf{r}}(t)$ は粒子の位置の一階の時間微分(すなわち速度)であり、 $\ddot{\mathbf{r}}(t)$ は二階の時間微分(すなわち加速度)である。
  位置 $\mathbf{r}(t)$ の各成分を
と表すことにし、 $3$ 次元空間の基底ベクトルを
と定義すると、 位置と速度と加速度は、 それぞれ
と表される。 これを用いると、 運動方程式は、
と表される。
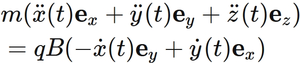
  ここで議論を簡潔にするため、 一様磁場 $\mathbf{B}$ が $Z$ 方向を向いているものとする。 すなわち、
であるとする。 この場合、 運動方程式は、
である。
  さて、基底ベクトル同士の外積が
であることを用いると、 運動方程式は、
と表される。 この式を成分で表示すると、
となる。
  このように一様な磁場中を運動する荷電粒子の運動方程式は、 連立線形微分方程式になる。 粒子の位置と速度が時刻 $t=0$ において、
であったという初期条件を課すと、 この微分方程式は以下のように解かれる。
運動方程式を解く
  各成分の運動方程式 $(1)$ を時間について積分した式は、
である。  ここで $C_{x}, C_{y}, C_{z}$ は時間に依らない定数であるが、 時刻 $t=0$ の場合を考えると、 初期条件 $(2)$ によって、
と求まる。 これらを代入することにより、
を得る。
  これらを 運動方程式 $(1)$ に代入すると、
となる。 これより、 $x(t)$ と $y(t)$ は、 微分方程式
に従うことが分かる。
  $(4)$ の一般解は、 これを満たす一つの解(特解)と 右辺を $0$ とした微分方程式
の一般解との和で与えられることが知られている。 そこで、それらの解を求めると次のようになる。
  まず、 $(4)$ を満たす一つの解は、
である ($(4)$ に実際に代入すると確かめられる。 また $(4)$ のように右辺が定数になる場合には、 特解が定数になることが知られている )。
  一方、 微分方程式 $(5)$ の一般解は、
であることが知られている。 ここで、 $D_{x}, E_{x}, D_{y}, E_{y}$ は定数であり、
である。
  したがって、微分方程式 $(3)$ の一般解は、
である。 定数 $D_{x}, E_{x}, D_{y}, E_{y}$ は、 初期条件 $(2)$ により、次のように求まる。
  まず $(7)$ において $t=0$ とすると、 $(2)$ により、
となる。 また、 $(7)$ を時間で微分し、
とした上で、 $t=0$ とすることにより、 $(2)$ から
となることが分かる。
  以上のように求まった $D_{x}, E_{x}, D_{y}, E_{y}$ を $(7)$ に代入することにより、 $x(t)$ と $y(t)$ の解
を得る。
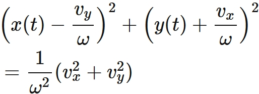
  この結果から
が成り立つ。 これは、中心が $(\frac{v_{y}}{\omega}, - \frac{v_{x}}{\omega})$ であり、 半径が $\frac{1}{\omega} \sqrt{v_{x}^2 + v_{y}^2} $ である円の方程式であるので、 $x(t), y(t)$ の描く軌道は円運動であることが分かる。
  また、 $(8)$ を時間微分すると、
であることから、
が成り立つので、 円運動の速さは一定である。
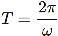
  加えて、 $(8)$ から任意の時刻 $t$ に対して
が成立するので、 $x(t)$ と $y(t)$ は
の周期を持つ周期運動であることが分かる。  これより、 $x(t)$ と $y(t)$ の角振動数は、
である。 ここで $(6)$ を用いた。
  以上から $x(t)$ と $y(t)$ の描く軌跡が、 角振動数 $\frac{qB}{m}$ の等速円運動であることが示された。
  一方で $z(t)$ は、 $(3)$ を時間について積分した式
に初期条件 $(2)$ を課すことによって、
であることが分かるので、
となる。 したがって、粒子は $Z$ 方向に等速運動をする。
 
まとめ
  以上より、 $Z$ 方向に一様な磁場中の荷電粒子は、 $Z$ 方向に等速で進み、$XY$ 座標が等速円運動を行うらせん軌道を描くこと分かる (下図)。
サイクロトロン運動のらせん運動の軌跡の図
この運動はサイクロトロン運動は呼ばれ、 円運動の角振動数
サイクロトロン振動数
サイクロトロン振動数と呼ばれる。