理想気体の分子運動論の解説

気体の平均運動エネルギー
  箱の中に閉じ込めらた気体分子が、箱の壁面に及ぼす圧力を考察すると、 圧力 $P$ と体積 $V$ と $1$ モルあたりの気体の平均運動エネルギー $U$ の間に
が成り立つことが示される。 ここで $\nu$ は箱の中に含まれる分子のモル数である。
解説
    立方体の箱の中に閉じ込めらた気体が壁に及ぼす圧力を求める。 箱の内壁の一面が $x$ 軸に垂直であるとし、 質量 $m$、速度 $\mathbf{v} = (v_{x},v_{y},v_{z})$ を持つ一つの分子がこの壁に衝突し、 衝突前後で速度の $x$ 成分が $v_{x}$ から $-v_{x}$ に変化した と仮定する。
このとき、 壁が受ける運動量は $2mv_{x}$ である (運動量保存法則) 。
  単位体積あたりに速度 $\mathbf{v}$ の分子が $n_{\mathbf{v}}$ 個あるとすると、 時間間隔 $\Delta t$ の間に単位面積を持つ壁の一部分 $A$ に衝突する速度 $\mathbf{v}$ の分子数は、 $A$ を底面とし、高さを $v_{x} \Delta t$ とする柱に含まれる分子数に等しい (下図参)。
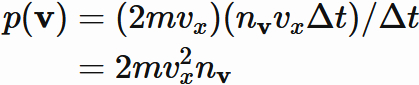
柱の体積が $v_{x} \Delta t$ であるので、 $A$ に衝突する分子数は $ n_{\mathbf{v}} v_{x} \Delta t $ である。 従って、$A$ に衝突する速度 $\mathbf{v}$ の分子が単位時間あたりに $A$ に与える運動量 $p (\mathbf{v})$ は、
である。 これを全ての速度に渡って合計すると、 領域 $A$ が受け取る単位時間あたりに運動量の合計、すなわち、領域 $A$ に加わる圧力 $P$ が次のように得られる。
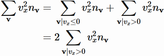
$$ \tag{1.1} $$ である。 ここで $ \sum_{\mathbf{v} | v_{x} \gt 0}$ は、 速度の $x$ 成分が正である分子に対して総和をとることを表す。 この総和が 速度の $x$ 成分が正でない分子に対する総和に等しいと仮定する。 すなわち、
を仮定すると、 次の関係を得る。
これより、
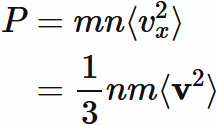
と表せる。 ここで単位体積当たりの分子数を $n$、 $v_{x}^2$ の平均値を $\langle v_{x}^2 \rangle$ とすると
であるから
と表せる。 $\langle v_{x}^2 \rangle$ が他の方向の平均値と等しく $\langle v_{x}^2 \rangle = \langle v_{y}^2 \rangle = \langle v_{z}^2 \rangle$ が成り立つと仮定すると、
$$ \tag{1.2} $$ であるので、
と表せる。
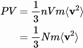
  箱の体積を $V$、分子の総数を $N$ とすると、$nV = N$ であるので、上式の両辺に $V$ を掛けることにより、
$$ \tag{1.3} $$ が成り立つ。 ここで1モルあたりの分子数を $N_{0}$ とし、 \begin{eqnarray} PV = \frac{2}{3} \frac{N}{N_{0}} \Big( \frac{1}{2} N_{0} m \langle \mathbf{v}^2 \rangle \Big) \end{eqnarray} と表すと、$N/N_{0}$ は箱の中の分子のモル数であるので、これを $\nu$ と表すと、 すなわち、 \begin{eqnarray} \nu = \frac{N}{N_{0}} \end{eqnarray} $$ \tag{1.4} $$ とすると、 \begin{eqnarray} PV = \frac{2}{3} \nu U \end{eqnarray} と表される。 ここで \begin{eqnarray} U = N_{0} \frac{1}{2} m \langle \mathbf{v}^2 \rangle \end{eqnarray} $$ \tag{1.5} $$ とした。これは $1$ モルあたりの気体の平均運動エネルギーである。


理想気体の状態方程式
  箱の中の圧力 $P$ と体積 $V$ の積 が温度 $T$ に比例すると仮定する (実験によって裏付けられている経験則であり、ボイルシャルルの法則と呼ばれる)。 すなわち、 $ PV \propto T $ を仮定すると、 $(1.3)(1.2)$ から \begin{eqnarray} PV &=& \frac{1}{3} Nm \langle \mathbf{v}^2 \rangle \\ &=& Nm \langle \mathbf{v}_{x}^2 \rangle \propto T \end{eqnarray} $$ \tag{2.1} $$ を得る。 箱が閉じており $N$ が変わらないので、 $m \langle \mathbf{v}_{x}^2 \rangle \propto T $ である。 そこで $T$ の比例係数を $k_{B}$ とすると、 すなわち、 \begin{eqnarray} m \langle \mathbf{v_{x}}^2 \rangle = k_{B}T \end{eqnarray} $$ \tag{2.2} $$ とすると、 $(2.1)(1.4)$ より、 \begin{eqnarray} PV &=& Nm \langle \mathbf{v}_{x}^2 \rangle \\ &=& N k_{B}T \\ &=& \frac{N}{N_{0}} N_{0} k_{B}T \\ &=& \nu N_{0} k_{B}T \end{eqnarray} と表せる。ここで \begin{eqnarray} N_{0} k_{B} = R \end{eqnarray} と置くと、 \begin{eqnarray} PV &=& \nu N_{0} k_{B}T \\ &=& \nu R T \end{eqnarray} を得る。 これを理想気体の状態方程式といい、 $R$ は気体定数 (absolute gas constant) とよばれる。
  また、$1$ モルあたりの気体の平均運動エネルギー $U$ は $(1.5)(1.2)(2.2)$ によって、 \begin{eqnarray} U&=& \frac{1}{2} N_{0} m \langle \mathbf{v}^2 \rangle \\ &=& \frac{3}{2} N_{0} m \langle \mathbf{v_{x}}^2 \rangle \\ &=& \frac{3}{2} N_{0} k_{B}T \\ &=& \frac{3}{2} RT \end{eqnarray} と温度 $T$ を用いて表される。