極化等式の定義と証明

極化等式 (実ベクトル空間)
  内積とノルムが定義された任意の実ベクトル空間の任意の二つのベクトル $\mathbf{x}$ と $\mathbf{y}$ には、
極化等式 (実ベクトル)
が成り立つ。
証明
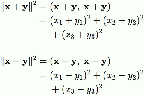
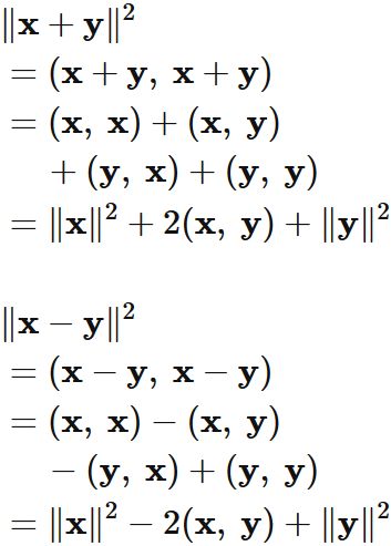
  実ベクトル空間の内積の性質 (定義)
を用いると、 ノルムの定義より、
であるので、
が成り立つ。


具体例
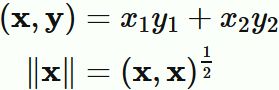
  二次元実ベクトル空間のベクトル
に対して、 内積とノルムをドット積により、
と定義すると、
であるので、
が成り立つ。
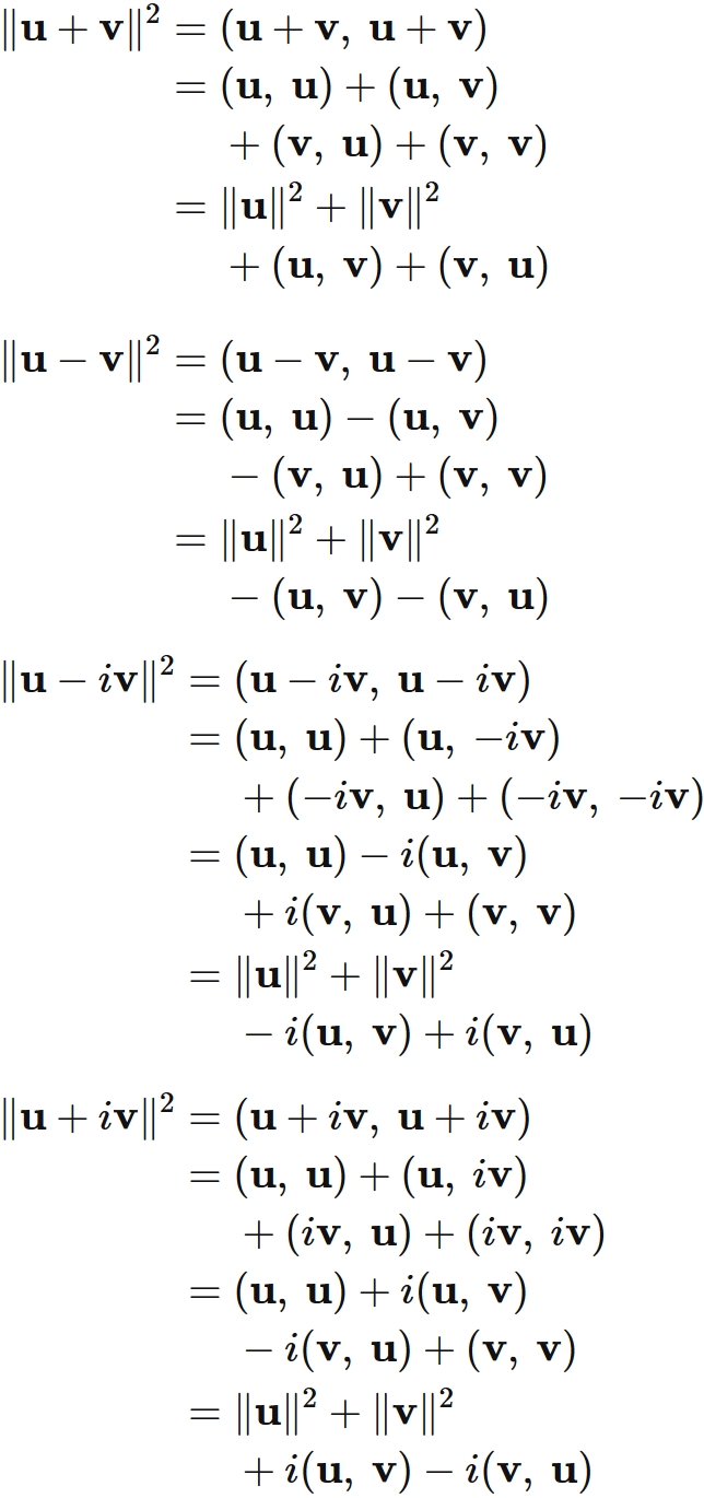
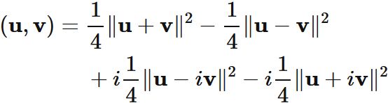
極化等式 (複素ベクトル)
  内積とノルムが定義された任意の複素ベクトル空間の任意の二つのベクトル $\mathbf{u}$ と $\mathbf{v}$ には、
複素ベクトル空間の極化等式
が成り立つ。
証明
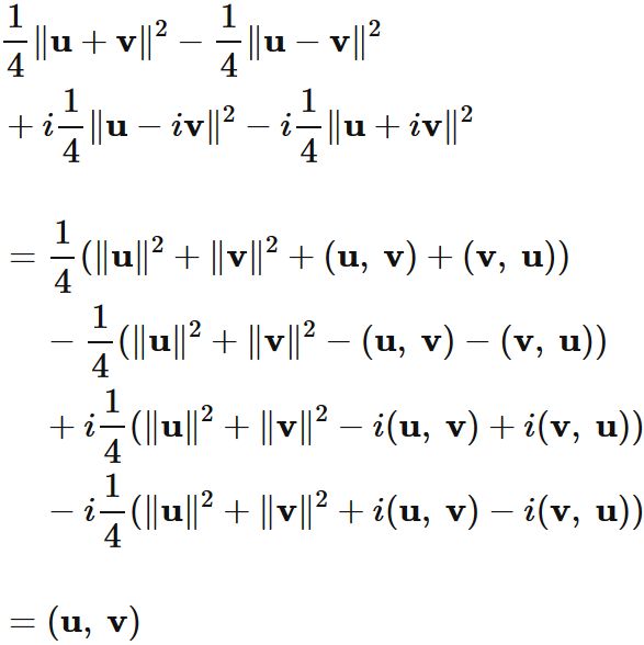
  複素ベクトル空間の内積の性質 (定義)
反線形性 \begin{eqnarray} (a \mathbf{u}, \mathbf{v}) &=& a^{*} (\mathbf{u}, \mathbf{v}) \end{eqnarray} を用いると、 ノルムの定義より、
であるので、
が成り立つ。

補足:
  極化等式は内積のルールのみから成り立つので、 内積とノルムが定義されたベクトル空間のベクトルであれば、 どんな場合にも成り立つ。 例えば、 内積がドット積であろうと、 ヒルベルト・シュミット積であろうと成り立ち、 ベクトル空間が無限次元であっても成り立つ。