光のドップラー効果を解説   (相対論)

光のドップラー効果 (縦方向)
  静止している観測者が $+X$ 軸方向に速度 $v$ で運動している光源から発せられた $+X$ 軸方向に進む光を観測したとする。
光のドップラー効果(縦方向)の図
このとき、観測者が観測する光の振動数を $\nu$、 光源が発した振動数を $\nu'$ とすると、 これらには、
光のドップラー効果(縦方向)
$$ \tag{1.1} $$ の関係が成り立つ。ここで $c$ は光速である。 この関係を (縦方向の) 光のドップラー効果という。
解説
準備1 : ローレンツ変換
  議論を簡潔にする目的で、$XY$ 平面内を伝わる光のみを考察対象とする。
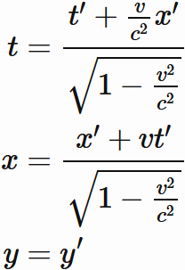
  静止している座標系 $S$ とする。 一方、 $S$ に対して $+X$ 方向に速度 $ v $ で運動している座標系を $S'$ とする。 ある物理現象 (例えば質点の運動) を系 $S$ では時刻が $t$ で座標値が $(x,y)$ であると観測されたとする。 一方、同じ現象を 系 $S'$ では時刻が $t'$ で座標値が $(x',y')$ であると観測されたとする。 特殊相対性理論では、これらの観測結果の間に
の関係があるとされる。 これをローレンツ変換といい、 各座標系(慣性系)における観測結果を関係づける変換式である。 ここから、
$$ \tag{1.2} $$ が成り立つ。この変換を用いると、 $S'$ における観測値から $S$ における観測値を求めることができる。
準備2: 正弦波
  $+X$ 方向に進行する正弦波の状態 (波の大きさ) は次のように記述できる。すなわち、
ここで、 $A$ 振幅であり、波の大きさの最大値を表す。 括弧の中の $\omega t - k x$ は位相と呼ばれ、 $\omega$ は角振動数であり、 $k$ は波数である。
  振動数を $\nu$、 波長を $\lambda$ とすると、
の関係があるので、 位相を
と表すことができる。 ここで、$u$ は波の速さであり、 $u = \nu\lambda$ を用いた。 以上から、正弦波は
と表される。
準備3: 位相の普遍性
  正弦波の式から分かるように、波の大きさは、位相
の値によって変化する。 この位相がどの座標系から観測されても同じ値になる (不変に保たれる)と物理的に要請しよう。 具体的には、 静止している座標系 $S$ で表した位相と、 移動している座標系 $S'$ で表した位相が等しいと要請する。 すなわち、
$$ \tag{1.3} $$ が成り立つことを要請する。ここで、 $u'$ は $S'$ からみた波の速さである。
  この要請を理解するための一つの例を考えよう。 系 $S$ にいる観測者が時刻が $0$ で $X$ 座標が $0$ における位相を表し、 加えて 時刻が $t$ で $X$ 座標が $x$ における位相を表し、 これらの位相差を求めると、
である。これを $2\pi$ で割った
$$ \tag{1.4} $$ は、 この位相差に含まれる波の数である (例えば位相差が $4\pi$ であるならば、その位相差に含まれる波の数は $\frac{4\pi}{2\pi} = 2$ 個である) 。
光のドップラー効果(縦方向)の図
同じ位相差を 系 $S'$ にいる観測者が表すと、 $(0, 0)$ をローレンツ変換すると $(0, 0)$ であり、 $(t, x)$ をローレンツ変換したものを $(t', x')$ とすると、 系 $S'$ における波の数は、
$$ \tag{1.5} $$ と表される。
  $(1.4)$ は静止した座標系で観測される波の数である。 一方、 $(1.5)$ は速さ $v$ で移動している座標系で観測される波の数である。 もしも、 両者が異なるとすると、 観測する座標系によって、 両者の波の数が異なってしまう。 そういう観測結果は起こらない、 すなわち、どんな座標系を選択したとしても、 観測される波の数は変化しないと要請すると、
が成り立つ。 したがって、 $(1.3)$ はある区間に含まれる波の数は、 どちらの座標系で計測しても不変になることを要請したことになる。
導出:
  $(1.3)$ における $u$ は静止している座標系からみた波の速さである。 一方、 $u'$ は移動している座標系から波の速さである。 光の波を考察する場合、 波の速さは光の速さ $c$ である。 また、どんな座標系から観測しても光の速さは不変に保たれるので、
が成り立つ。 これを $(1.3)$ に代入すると、
$$ \tag{1.6} $$ を得る。 左辺に $(1.2)$ を代入すると、
であるので、
が成り立つ。 この式が任意の時刻 $t'$ と任意の座標値 $x'$ について成り立つためには、 $t'$ と $x'$ に掛かる係数が両辺で等しくならなくてはならない。 したがって、
が成り立つ。 これより、
を得る。

光のドップラー効果 (横方向)
  静止している観測者が $+X$ 軸方向に速度 $v$ で運動している光源から発せられた $+Y$ 軸方向に進む光を観測したとする。
光のドップラー効果(横方向)の図
このとき、観測者が観測する光の振動数を $\nu$、 光源が発した振動数を $\nu'$ とすると、 これらには、
光のドップラー効果(横方向)
$$ \tag{2.1} $$ の関係が成り立つ。ここで $c$ は光速である。 この関係を (横方向の) 光のドップラー効果という。
解説
準備:
  縦方向のドップラー効果を求めたときの議論と異なる点は、 光の進行方向が $+Y$ 方向になっていることである。 この場合、正弦波は、
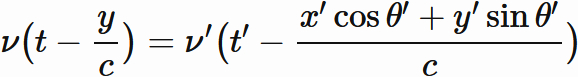
と表される。 一方、 静止している座標系から $+Y$ に進むように見える光は、 運動している座標系 (光源) からみて $+Y'$ 方向に発せられた光であるとは限らない。 そこで、光源にいる観測者から見た場合には、 $X'$ 軸との成す角が $\theta'$ の方向を向いた正弦波であるとする。 すなわち、
であるとする。
縦方向のドップラー効果の議論で述べたように、 観測する座標系によって位相が変化することないと仮定すると、 $(1.6)$ の代わりに、
$$ \tag{2.2} $$ が得られる。
導出:
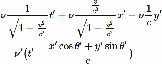
  $(2.2)$ の左辺に ローレンツ変換 $(1.2)$ を代入すると、
であるので、
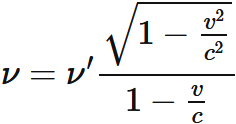
が成り立つ。 この式が任意の時刻 $t'$ と任意の座標値 $(x',y')$ に対して成り立つためには、 $t'$ と $x'$ と $y'$ に掛かる係数が両辺で等しくならなくてはならない。 その中の $t'$ の係数に着目すると、 \begin{eqnarray} \nu' = \nu \frac{1}{\sqrt{1-\frac{v^2}{c^2}}} \end{eqnarray} が得られる。 これより、 \begin{eqnarray} \nu = \nu' \sqrt{1-\frac{v^2}{c^2}} \end{eqnarray} を得る。

相対論的な赤方偏移
  光のドップラー効果には相対論特有の効果が含まれる。 これを顕著に表すのが、 横方向のドップラー効果 \begin{eqnarray} \nu = \nu' \sqrt{1-\frac{v^2}{c^2}} \end{eqnarray} $$ \tag{3.1} $$ である。 通常の相対論を考慮しない場合には、 光源の移動方向と直交する方向に発せられる波にドップラー効果は起こらない。 しかし、 相対論を考慮することによって、 $(3.1)$ で表される振動数の変化が起こる。
  $(3.1)$ は、静止している観測者には、 光源とともに運動する観測者と比べて、 小さな振動数が観測されることを表している。 例えば、 光源が光速の $\frac{3}{4}$ の速さで運動し、 光源が $650$ THzの光 (青色の光) を発した (光源とともに運動する観測者が $650$ THzの光を観測した) 場合には、 静止している観測者は \begin{eqnarray} \nu &=& 650 \times 10^{9} \times \sqrt{1-\frac{(\frac{3}{4}c)^2}{c^2}} \\ &\simeq& 430 \hspace{2mm} (\mathrm{THz}) \end{eqnarray} の振動数の光 (赤色の光) を観測する。
  光の振動数が低く観測されることは波長が長く観測されることを意味するので、 相対論を考慮した場合には、 運動する光源から発せられる光の波長が長くなること表している。 これを相対論的な赤方偏移といい、 主に天文学の中で用いられる。