特殊相対論における速度の加法則(合成則)の証明

速度の加法則
    静止している座標系 $S$ に対して速度 $\mathbf{u} = (u_{x}, u_{y}, u_{z})$ で運動している物体がある。 この物体を $S$ に対して $+X$ 方向に速さ $ v $ で運動している座標系 $S'$ から観測して得られる速度を $\mathbf{u}' = (u_{x}', u_{y}', u_{z}')$ とすると、 これらの間には、
特殊相対論における速度の加法則(合成則)
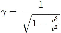
の関係がある。 ここで $c$ は光の速さであり、
である。
  この関係を特殊相対論における 速度の加法則 または 速度の合成則 という。  以下に解説を記す。
ローレンツ変換
  はじめに、特殊相対性理論の基本となるローレンツ変換の定義を紹介する。
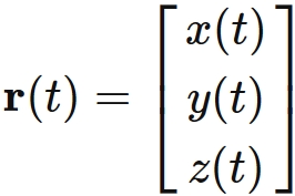
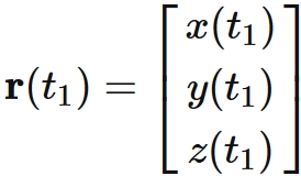
  特殊相対性理論では、 静止している座標系 $S$ にいる観測者が観測を行った結果、 時刻 $t$ のときに位置
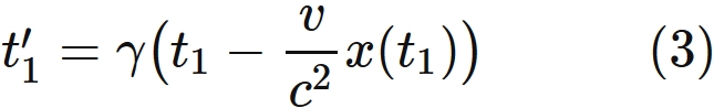
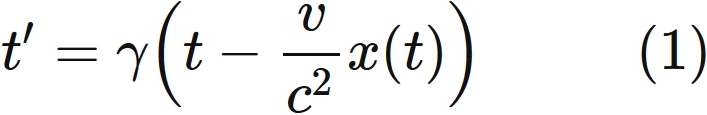
にあるとされた物体は、 $S$ に対して $+X$ 方向に速さ $ v $ で運動している座標系 $S'$ にいる観測者からは、 時刻 $t'$ が
であり、 位置が
であると観測される。 ここで、$c$ は光の速さであり、
である。 これらをローレンツ変換といい、 各座標系における観測結果を結びつける変換式である。
  この変換を用いると、 速度の加法則は以下のように導かれる。
加法則の証明
  速度を定義するために、 物体の位置を二回観測する。 このとき、 ローレンツ変換 $(1)(2)$ を用いると、次のことが成り立つ。
  座標系 $S$ にいる観測者が一回目の観測を行った結果、 時刻 $t_{1}$ のときに位置
にあるとされた物体は、 $S'$ にいる観測者からは、 時刻 $t'_{1}$ が
であり、 位置が
であると観測される。
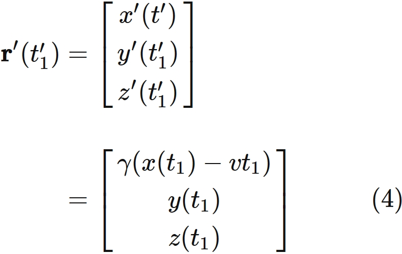
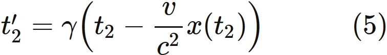
  同じように、 座標系 $S$ にいる観測者が二回目の観測を行った結果、 時刻 $t_{2}$ のときに位置
にあるとされた物体は、 $S'$ にいる観測者からは、 時刻 $t'_{2}$ が
であり、 位置が
であると観測される。
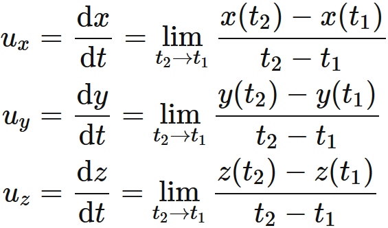
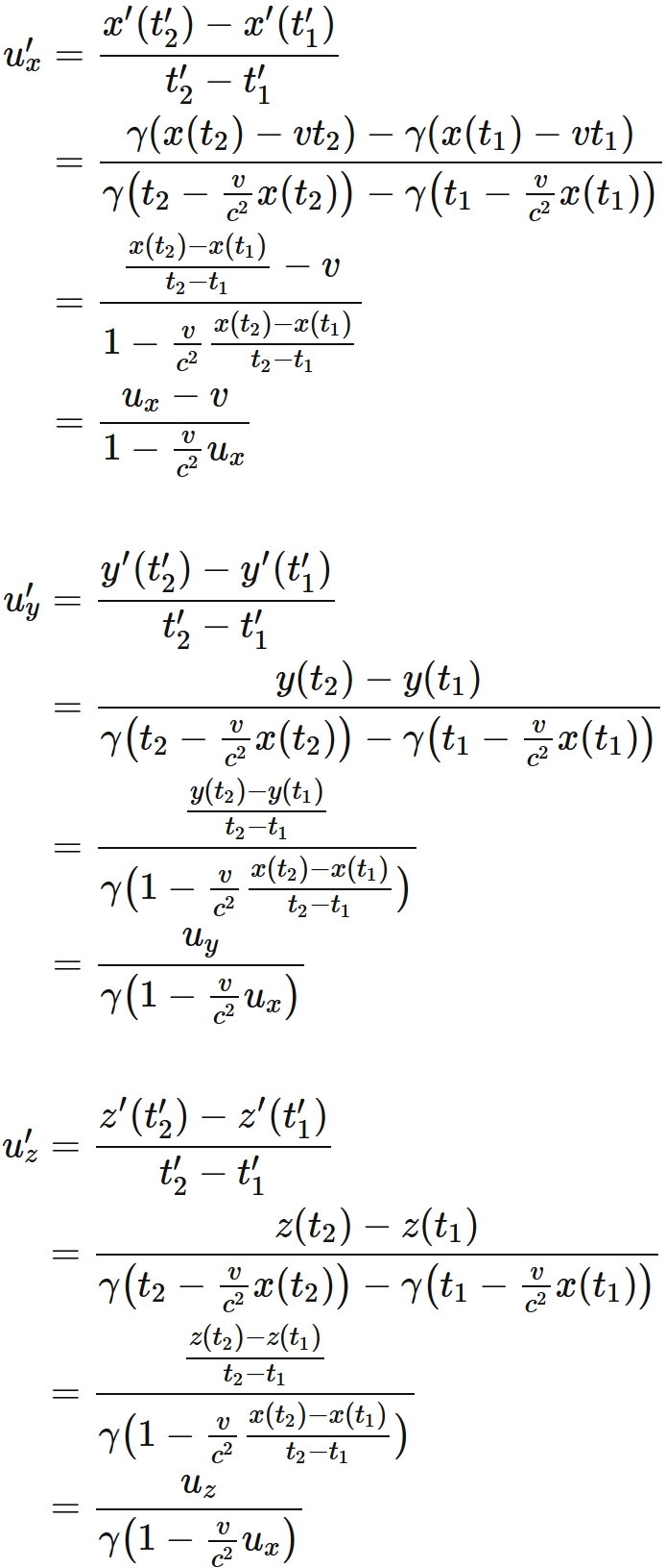
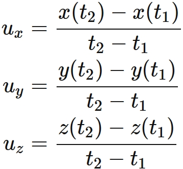
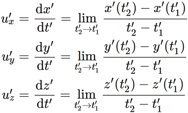
  速度は位置の変化分を時間の変化分で割ったものであるから(より厳密な議論は補足 1を参考)、 これらの観測結果を用いると、 それぞれの座標系で観測された物体の速度を計算できる。 すなわち、 座標系 $S$ で観測された速度 $\mathbf{u}$ を、
と表すことにすると、
であり、 座標系 $S'$ で観測された速度 $\mathbf{u}'$ を、
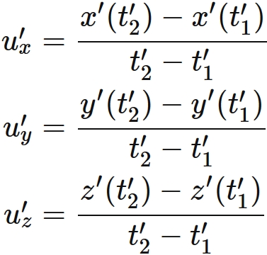
と表すことにすると、
である。
  $S'$ で観測された速度は、 ローレンツ変換 $(3)(4)(5)(6)$ によって、
と表される。
  以上の式は、 $S$ で観測される速度と $S'$ で観測される速度との間の関係式を表しており、 一方での速度から他方えの速度を計算することを可能にする。 これを特殊相対性理論における速度の合成則または速度の加法則という。
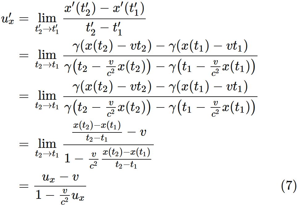
補足1: より正確に
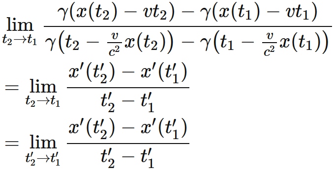
  より正確には、速度は位置の時間微分であり、 位置の時間変化を時刻の変化で割り、時間変換分を $0$ に近づけたときの極限である。 したがって、 $S$ で観測される速度は、
であり、 $S'$ で観測される速度は、
である。 ここで、 それぞれの速度は時刻 $t_{1}$ と 時刻 $t_{1}'$ における速度である。
  ローレンツ変換を用いて $u_{x}'$ を書き直すと、
となり、 上と同じ速度の合成則を得る。 $y$ 成分と $z$ 成分についても同様に得られる。 ( 上の式の二個目の等号において、 $t_{2}' \rightarrow t_{1}'$ の極限を $t_{2} \rightarrow t_{1}$ の極限に書き換えているが、 これについては、 以下の補足を参考にするとよい。)
  このように特殊相対性理論では、 速度の定義(位置の時間微分)とローレンツ変換から速度の合成則が導かれる。 これは、 等速運動だけでなく加速度運動している物体の速度に対しても、 速度の合成則が成り立つことを意味する。
補足2: 極限について
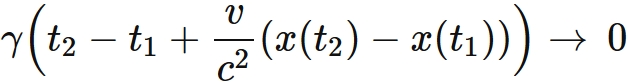
  $(7)$ において、 $t_{2}' \rightarrow t_{1}'$ の極限を $t_{2} \rightarrow t_{1}$ の極限に書き換えていた部分があるが、 これについて簡単に述べる。
  ローレンツ変換 $(1)$ を時刻 $t_{2}'$ と $t_{1}'$ に適用すると、
が成り立つが分かる。
  ここで、 $x(t)$ が $t$ の連続関数であると仮定する (この仮定は、 物体の運動が時間に対して連続的に遷移するという仮定であり、 力学では暗に仮定されるものである)。 この仮定を認めると上の式から、 $t_{2} \rightarrow t_{1}$ の極限では
となる。 よって、上の式から $t_{2} \rightarrow t_{1}$ の極限では、 $t_{2}' \rightarrow t_{1}'$ となる。
  ゆえに、
が成り立つ。